电脑桌面
添加小米粒文库到电脑桌面
安装后可以在桌面快捷访问

(江苏版)高考数学一轮复习 专题4.3 两角和与差及二倍角的三角函数(测)-江苏版高三全册数学试题VIP免费

(江苏版)高考数学一轮复习 专题4.3 两角和与差及二倍角的三角函数(测)-江苏版高三全册数学试题_第1页
1/3
(江苏版)高考数学一轮复习 专题4.3 两角和与差及二倍角的三角函数(测)-江苏版高三全册数学试题_第2页
2/3
(江苏版)高考数学一轮复习 专题4.3 两角和与差及二倍角的三角函数(测)-江苏版高三全册数学试题_第3页
3/3
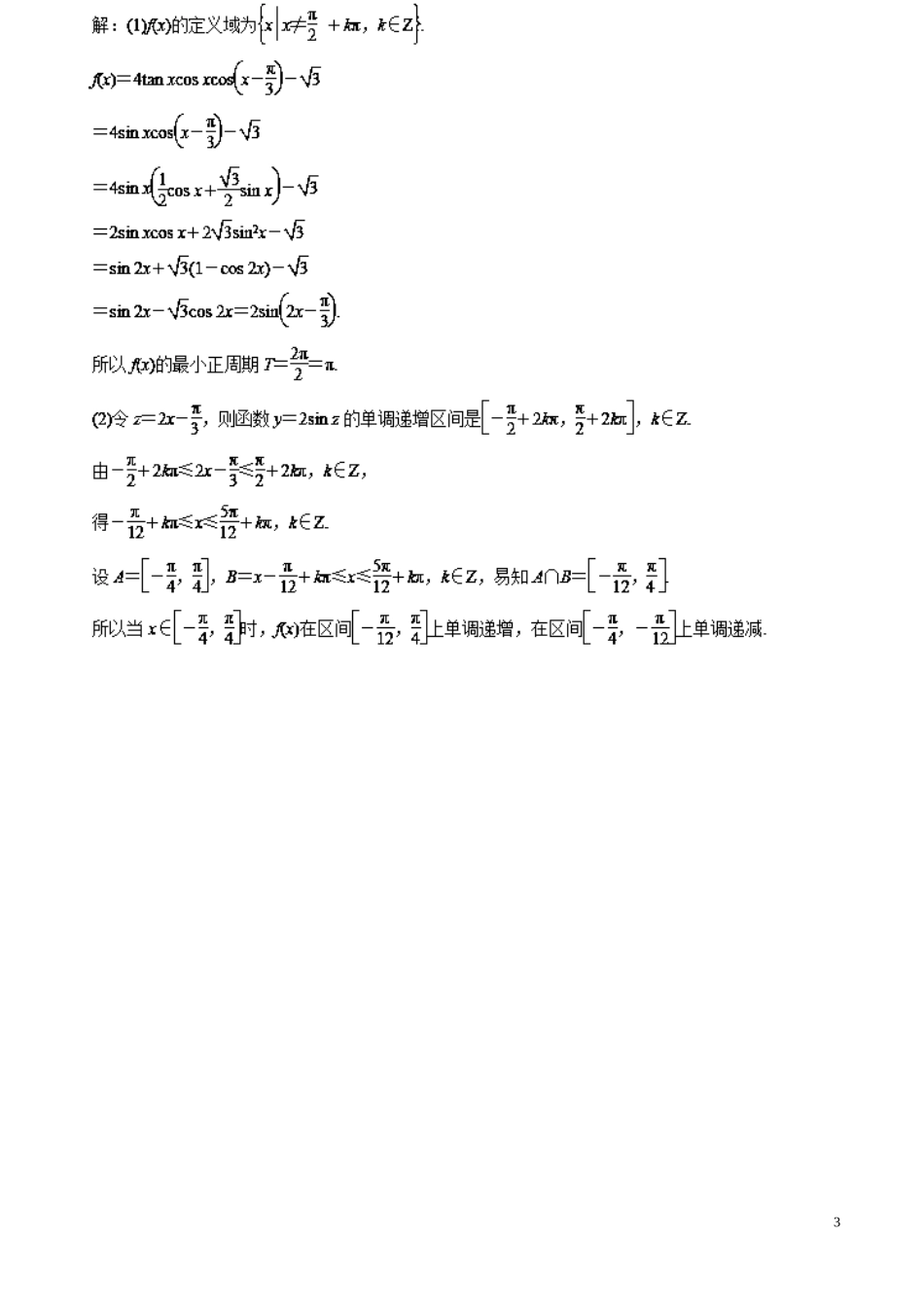
专题 4.3 两角和与差及二倍角的三角函数一、填空题1.已知 sin 2α=,则 cos2=【解析】依题意得 cos2=cos αcos+sin αsin2=(cos α+sin α)2=(1+sin 2α)=.2.已知 cos=-,则 cos x+cos=3.若 tan α=2tan,则=【解析】 =======34.已知 sin=,cos 2α=,则 sin α=【解析】由 sin=得 sin α-cos α=, ①由 cos 2α=得 cos2α-sin2α=,所以(cos α-sin α)·(cos α+sin α)=, ②由①②可得 cos α+sin α=-, ③由①③可得 sin α=.5.在斜三角形 ABC 中,sin A=-cos B·cos C,且 tan B·tan C=1-,则角 A 的值为6.已知锐角 α,β 满足 sin α-cos α=,tan α+tan β+·tan αtan β=,则 α,β 的大小关系是【解析】 ∵α 为锐角,sin α-cos α=,∴α>.又 tan α+tan β+tan αtan β=,∴tan(α+β)==,∴α+β=,又 α>,∴β<<α. 7.函数 f(x)=sin-2sin2x 的最小正周期是________.【解析】∵f(x)=sin 2x-cos 2x-(1-cos 2x)=sin 2x+cos 2x-=sin-,∴f(x)的最小正周期 T==π.答案:π8.已知 cos4α-sin4α=,且 α∈,则 cos=________.【解析】∵α∈,cos4α-sin4α=(sin2α+cos2α)(cos2α-sin2α)=cos 2α=>0,∴2α∈,∴sin 2α=1=,∴cos=cos 2α-sin 2α=×-×=.答案:9.已知 tan α,tan β 是方程 x2+3x+4=0 的两根,且 α,β∈,则 α+β=________.【解析】由题意得 tan α+tan β=-3<0,tan α·tan β=4>0,∴tan(α+β)==,且 tan α<0,tan β<0,又 α,β∈,故 α,β∈,∴α+β∈(-π,0),∴α+β=-.答案:-10.若 0<α<,-<β<0,cos=,cos-=,则 cos=________.二、解答题11.已知函数 f(x)=cos2x+sin xcos x,x∈R.(1)求 f 的值;(2)若 sin α=,且 α∈,求 f.解:(1)f=cos2+sincos=2+×=.(2)因为 f(x)=cos2x+sin xcos x=+sin 2x=+(sin 2x+cos 2x)=+sin,所以 f=+sin=+sin=+.因为 sin α=,且 α∈,所以 cos α=-,所以 f=+×-×=.12.(2016·天津高考)已知函数 f(x)=4tan xsin·cos-.(1)求 f(x)的定义域与最小正周期;(2)讨论 f(x)在区间上的单调性.23

1、当您付费下载文档后,您只拥有了使用权限,并不意味着购买了版权,文档只能用于自身使用,不得用于其他商业用途(如 [转卖]进行直接盈利或[编辑后售卖]进行间接盈利)。
2、本站所有内容均由合作方或网友上传,本站不对文档的完整性、权威性及其观点立场正确性做任何保证或承诺!文档内容仅供研究参考,付费前请自行鉴别。
3、如文档内容存在违规,或者侵犯商业秘密、侵犯著作权等,请点击“违规举报”。

碎片内容

(江苏版)高考数学一轮复习 专题4.3 两角和与差及二倍角的三角函数(测)-江苏版高三全册数学试题

确认删除?
VIP
微信客服
  • 扫码咨询
会员Q群
  • 会员专属群点击这里加入QQ群
客服邮箱
回到顶部