电脑桌面
添加小米粒文库到电脑桌面
安装后可以在桌面快捷访问

各行业企业人工成本投入产出效益情况VIP免费

各行业企业人工成本投入产出效益情况_第1页
1/24
各行业企业人工成本投入产出效益情况_第2页
2/24
各行业企业人工成本投入产出效益情况_第3页
3/24
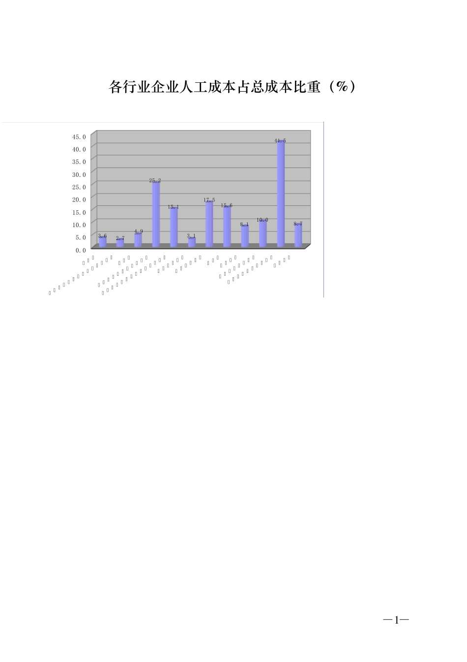
附件 1 各行业企业人工成本投入产出效益情况�各行业企业人均人工成本情况(元)� 31419147888315799466456964447193250014647098178443263885058281020000400006000080000100000120000140000160000� � �� � � � � � � � � � � � � �� � �� � � � � � � � � � �� � � � � � � � � � � � � �� � � � � �� � � � � �� � �� � � �� � � � � � � �� � � � � � � � � �� � � � 各行业企业百元人工成本销售收入(元) 137046452187531 66433086821132123686128311790500100015002000250030003500400045005000� � �� � � � � � � � � � � � � �� � �� � � � � � � � � � �� � � � � � � � � � � � � �� � � � � �� � � � � �� � �� � � �� � � � � � � �� � � � � � � � � �� � � � —1— 各行业企业人工成本占总成本比重(%) 3.6 2.74.925.215.13.117.515.68.110.041.58.70.05.010.015.020.025.030.035.040.045.0� � �� � � � � � � � � � � � � �� � �� � � � � � � � � � �� � � � � � � � � � � � � �� � � � � �� � � � � �� � �� � � �� � � � � � � �� � � � � � � � � �� � � � —2— 附件2 制造业企业人工成本投入产出效益情况�制造业企业人均人工成本情况(元)�326504090627557292703728626435233342872823485290813924329364306473359249139480272858730183303524365755027262543306030666275930100002000030000400005000060000� � � � � � �� � � � �� � �� � � � � � � � � � �� � � � � � � � � � � � � � � �� � � � � � � � � � � � � � � � �� � � � �� � � � � � �� � � � � � � � � � �� � � � � � � � �� � �...

1、当您付费下载文档后,您只拥有了使用权限,并不意味着购买了版权,文档只能用于自身使用,不得用于其他商业用途(如 [转卖]进行直接盈利或[编辑后售卖]进行间接盈利)。
2、本站所有内容均由合作方或网友上传,本站不对文档的完整性、权威性及其观点立场正确性做任何保证或承诺!文档内容仅供研究参考,付费前请自行鉴别。
3、如文档内容存在违规,或者侵犯商业秘密、侵犯著作权等,请点击“违规举报”。

碎片内容

各行业企业人工成本投入产出效益情况

您可能关注的文档

精品文库+ 关注
实名认证
内容提供者

该用户很懒,什么也没介绍

确认删除?
VIP
微信客服
  • 扫码咨询
会员Q群
  • 会员专属群点击这里加入QQ群
客服邮箱
回到顶部