电脑桌面
添加小米粒文库到电脑桌面
安装后可以在桌面快捷访问

完整版,高中理科数学公式大全,推荐文档VIP专享VIP免费

完整版,高中理科数学公式大全,推荐文档_第1页
1/13
完整版,高中理科数学公式大全,推荐文档_第2页
2/13
完整版,高中理科数学公式大全,推荐文档_第3页
3/13
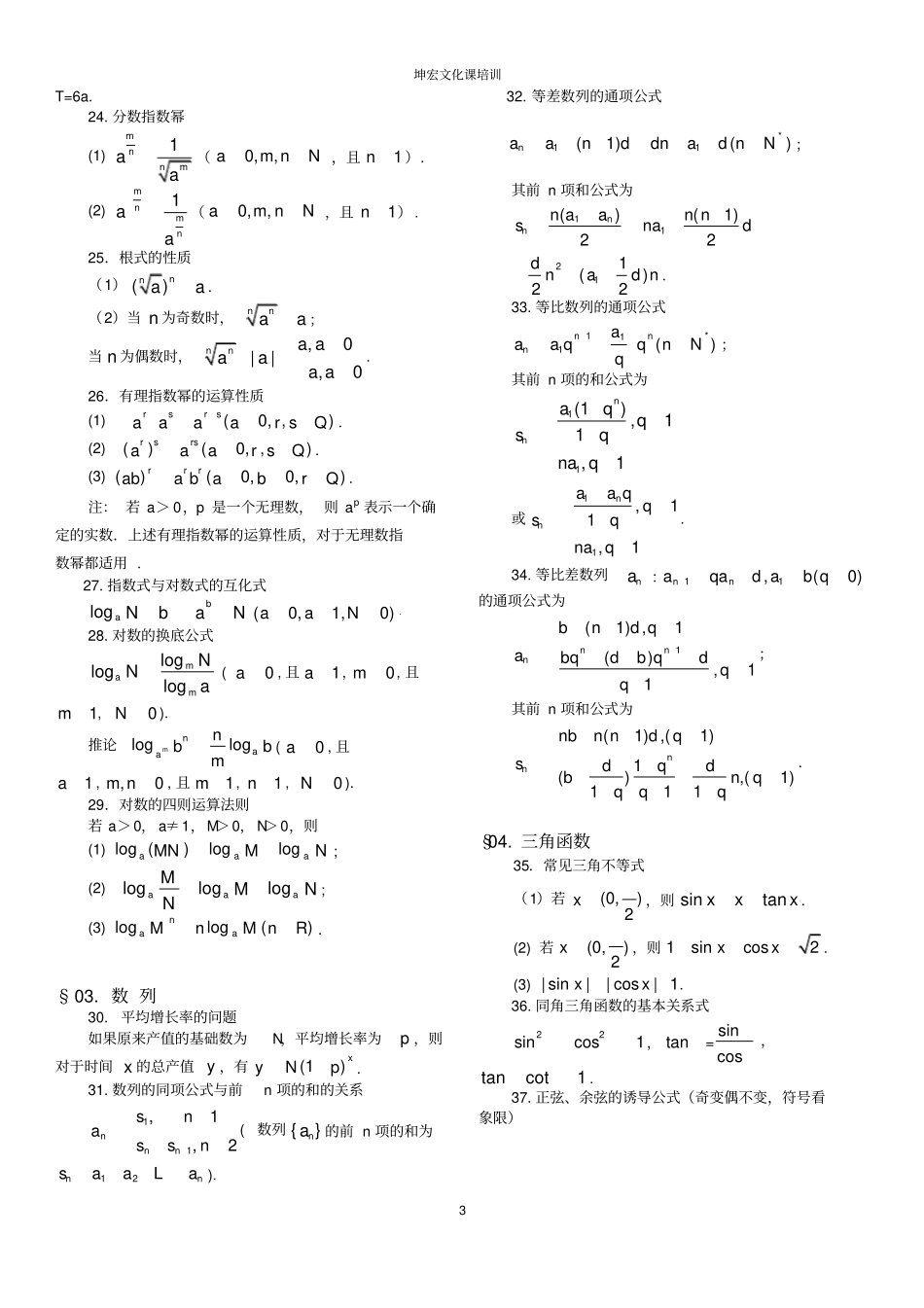
坤宏文化课培训1 高中数学公式大全(最新整理版)§01. 集合与简易逻辑1. 元素与集合的关系UxAxC A ,UxC AxA .2. 德摩根公式();()UUUUUUCABC AC B CABC AC BIUUI. 3. 包含关系ABAABBIUUUABC BC AUAC BIUC ABRU4. 容斥原理()()card ABcardAcardBcard ABUI. 5.集合12{,,,}na aaL的子集个数共有2n个;真子集有 2n – 1 个;非空子集有2n– 1 个;非空的真子集有 2n – 2 个. 6. 二次函数的解析式的三种形式(1) 一般式2( )(0)f xaxbxc a; (2) 顶点式2( )()(0)f xa xhk a; (3) 零点式12( )()()(0)f xa xxxxa. 7. 一元二次方程的实根分布依据:若()( )0f m f n,则方程0)(xf在区间 (, )m n 内至少有一个实根 . 设qpxxxf2)(,则(1)方程0)(xf在区间),(m内有根的充要条件为0)(mf或2402pqpm;(2)方程0)(xf在区间 (, )m n 内有根的充要条件为()( )0f m f n或2()0( )0402f mf npqpmn或0)(0)(nfmf或0)(0)(mfnf;(3)方程0)(xf在区间 (, )n 内有根的充要条件为()0f m或2402pqpm . 8. 定区间上含参数的二次不等式恒成立的条件依据(1) 在给定区间),(的子区间 L(形如,,,,,不同)上含参数的二次不等式( , )0f x t( t 为参数 ) 恒成立的充要条件是min( , )0()f x txL. (2) 在给定区间),(的子区间上含参数的二次不等式( , )0f x t( t 为参数 ) 恒成立的充要条件是( , )0()manf x txL . (3)0)(24cbxaxxf恒成立的充要条件是000abc或2040abac. 9. 真值表pq非pp或qp且q真真假真真真假假真假假真真真假假假真假假 10.四种命题的相互关系原命题:与逆命题互逆,与否命题互否,与逆否命题互为逆否;逆命题:与原命题互逆,与逆否命题互否,与否命题互为逆否;否命题:与原命题互否,与逆命题互为逆否,与逆否命题互逆;逆否命题:与逆命题互否,与否命题互逆,与原命题互为逆否;15.充要条件(1)充分条件:若pq ,则 p 是 q 充分条件 . ( 2)必要条件:若qp ,则 p 是 q 必要条件 . ( 3)充要条件:若pq ,且 qp ,则 p 是 q充要条件 . 注:如果甲是乙的充分条件,则乙是甲的必要条件;反之亦然 . §02. 函数11. 函数的单调性(1) 设2121,,xxbaxx那么1212()()()0xxf xf xbaxfxxxfxf,)(0)()(2121在上是增函数;1212()()()0xxf xf xbaxfxxxfxf,)(0)()(2121在上是减函数 . 坤宏文化课培训2 (2) 设函...

1、当您付费下载文档后,您只拥有了使用权限,并不意味着购买了版权,文档只能用于自身使用,不得用于其他商业用途(如 [转卖]进行直接盈利或[编辑后售卖]进行间接盈利)。
2、本站所有内容均由合作方或网友上传,本站不对文档的完整性、权威性及其观点立场正确性做任何保证或承诺!文档内容仅供研究参考,付费前请自行鉴别。
3、如文档内容存在违规,或者侵犯商业秘密、侵犯著作权等,请点击“违规举报”。

碎片内容

完整版,高中理科数学公式大全,推荐文档

确认删除?
VIP
微信客服
  • 扫码咨询
会员Q群
  • 会员专属群点击这里加入QQ群
客服邮箱
回到顶部