电脑桌面
添加小米粒文库到电脑桌面
安装后可以在桌面快捷访问

完整版2018中考数学计算题专项训练VIP免费

完整版2018中考数学计算题专项训练_第1页
1/4
完整版2018中考数学计算题专项训练_第2页
2/4
完整版2018中考数学计算题专项训练_第3页
3/4
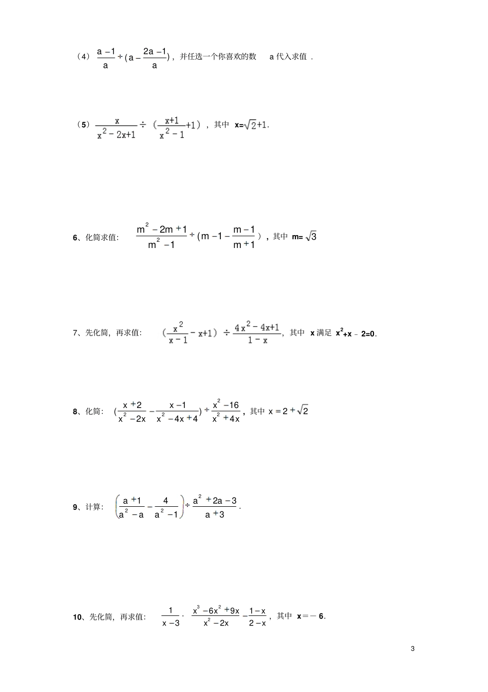
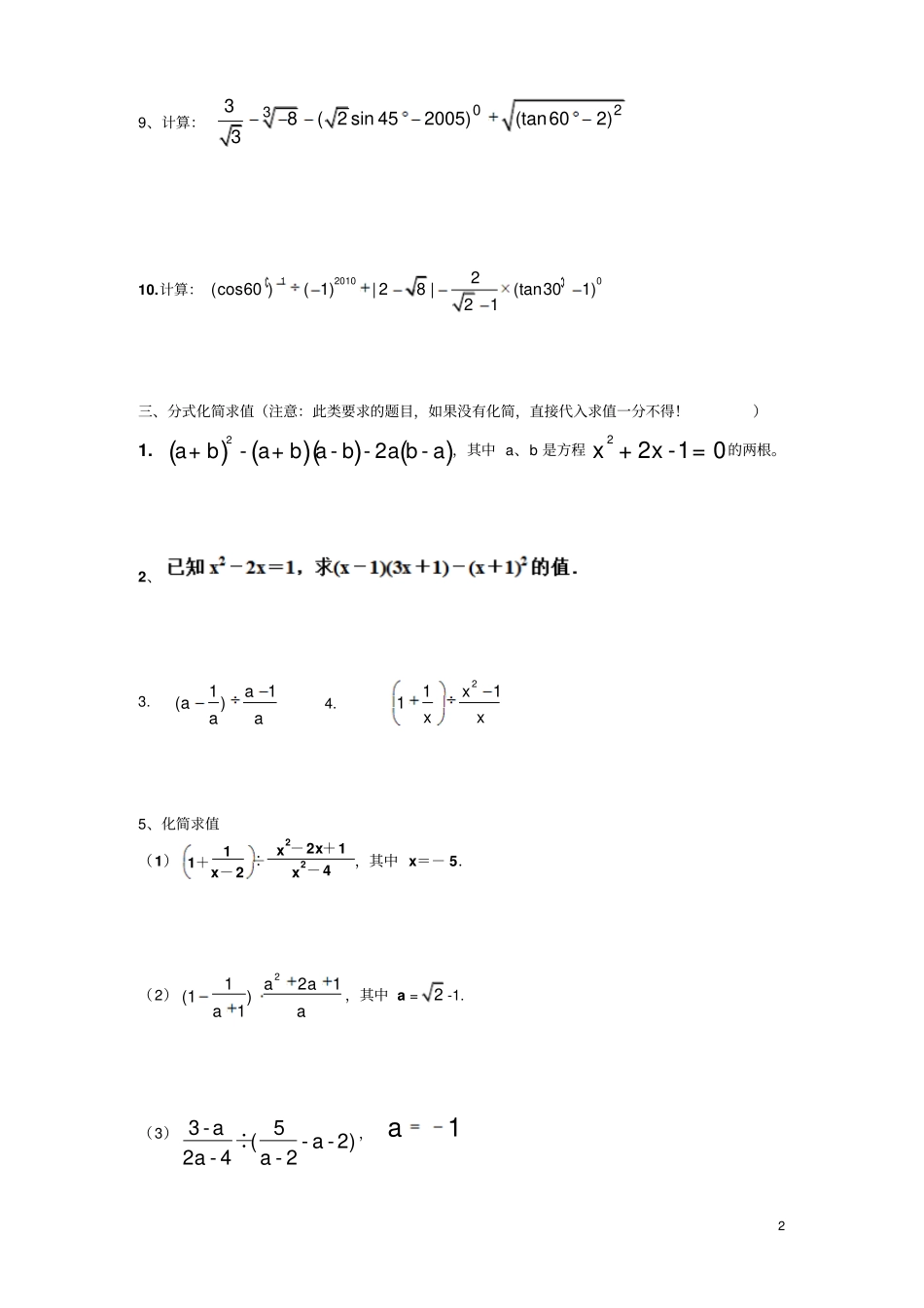
1 2018 年中考数学计算题专项训练一、选择填空1.下列运算错误的是()A.B.C.D.2.下列计算正确的是()A.﹣ |﹣3|=﹣3 B. 30=0 C.3﹣ 1=﹣3 D.=±3 3.下列各式化简结果为无理数的是()A.B.C.D.4.已知分式的值为零,那么x 的值是_________5.函数 y=1-x3x+中自变量 x 的取值范围是_________二、代数计算1.3082145Sin 2 .错误!未找到引用源。3.计算 2×(-5)+23- 3÷124. -22+(-1)4+(5-2)0-|-3|;5.( 3 )0- ( 12 )-2+tan45°6 计算:345tan323121107. 30tan3312120122010311001028.计算:0112230sin4260cos182 9、计算:02338( 2 sin 452005)(tan602)310.计算:1201002(60 )( 1)| 28 |(301)21costan三、分式化简求值(注意:此类要求的题目,如果没有化简,直接代入求值一分不得!)1. () ()()()a-ba2-b-aba-ba2++,其中 a、b 是方程01-x2x2=+的两根。2、3. 11()aaaa 4.2111xxx5、化简求值(1) 1+1 x-2÷ x2-2x+1 x2-4,其中 x=- 5.(2)2121(1)1aaaa,其中 a =2 -1. (3))2-a-2-5(4-2-3aaa ÷,1a3 (4))12(1aaaaa,并任选一个你喜欢的数a 代入求值 .(5),其中 x=.6、化简求值:111(11222mmmmmm), 其中 m=37、先化简,再求值:,其中 x 满足 x2+x﹣ 2=0.8、化简:xxxxxxxxx416)44122(2222, 其中22x9、计算:332141222aaaaaaa.10、先化简,再求值:13x·32269122xxxxxxx,其中 x=- 6.4 11、先化简,再求值:?+,其中 x 是从﹣ 1、0、1、2 中选取的一个合适的数.12、先化简,再求值:222211yxyxxyxyx,其中1x,2y.13、先化简,再求值:222112()2442xxxxxx,其中2x(tan45 ° -cos30 ° )14、先化简再求值:1112421222aaaaaa,其中 a 满足20aa.15、化简:22222369xyxyyxyxxyyxy.

1、当您付费下载文档后,您只拥有了使用权限,并不意味着购买了版权,文档只能用于自身使用,不得用于其他商业用途(如 [转卖]进行直接盈利或[编辑后售卖]进行间接盈利)。
2、本站所有内容均由合作方或网友上传,本站不对文档的完整性、权威性及其观点立场正确性做任何保证或承诺!文档内容仅供研究参考,付费前请自行鉴别。
3、如文档内容存在违规,或者侵犯商业秘密、侵犯著作权等,请点击“违规举报”。

碎片内容

完整版2018中考数学计算题专项训练

文库当当响+ 关注
实名认证
内容提供者

该用户很懒,什么也没介绍

相关文档

确认删除?
VIP
微信客服
  • 扫码咨询
会员Q群
  • 会员专属群点击这里加入QQ群
客服邮箱
回到顶部