电脑桌面
添加小米粒文库到电脑桌面
安装后可以在桌面快捷访问

高三数学第一次月考考试卷 文 (无答案)考试卷VIP免费

高三数学第一次月考考试卷 文 (无答案)考试卷_第1页
1/5
高三数学第一次月考考试卷 文 (无答案)考试卷_第2页
2/5
高三数学第一次月考考试卷 文 (无答案)考试卷_第3页
3/5
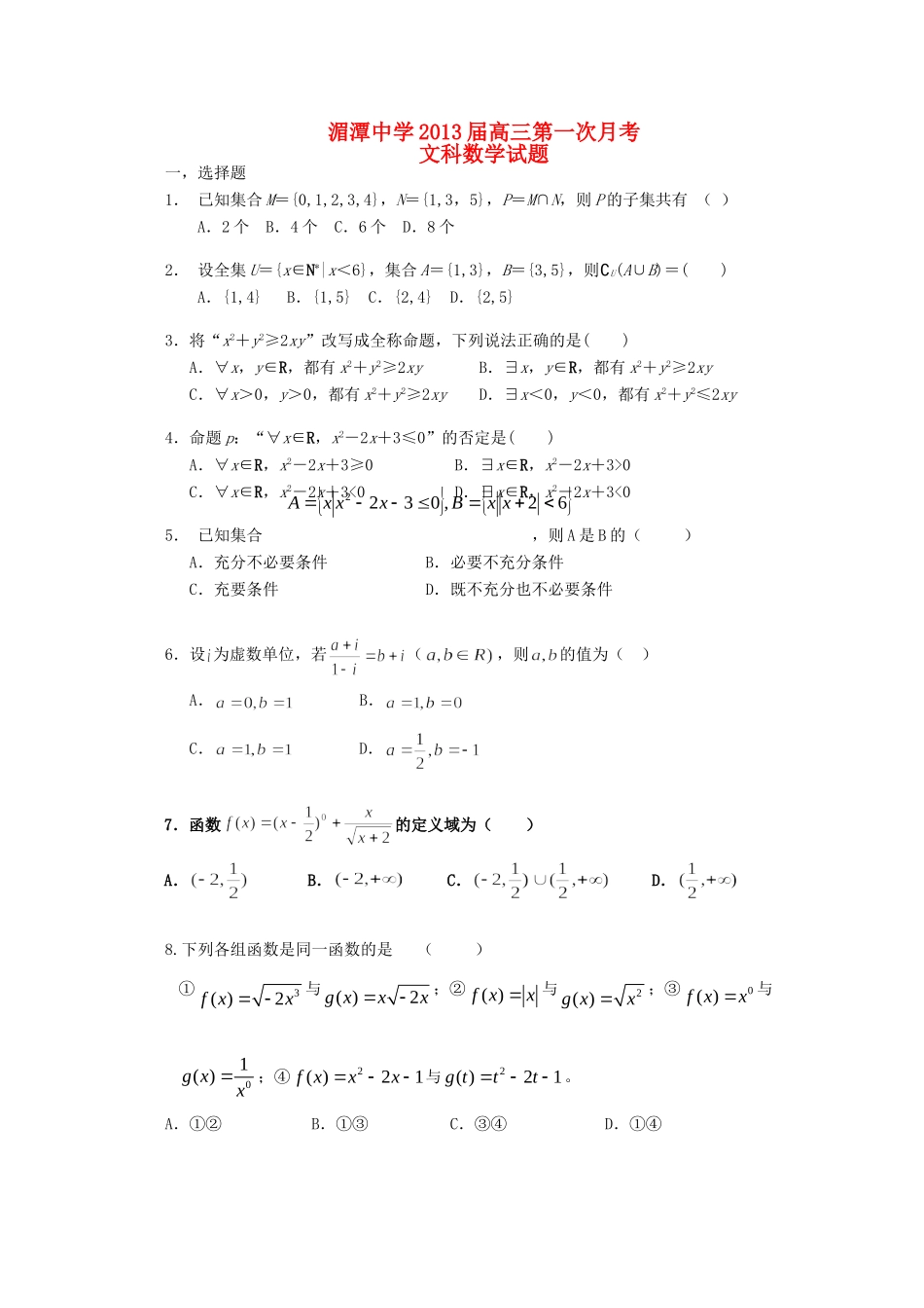
湄潭中学 2013 届高三第一次月考文科数学试题一,选择题1. 已知集合 M={0,1,2,3,4},N={1,3,5},P=M∩N,则 P 的子集共有 ( )A.2 个 B.4 个 C.6 个 D.8 个2. 设全集 U={x∈N*|x<6},集合 A={1,3},B={3,5},则∁U(A∪B)=( )A.{1,4} B.{1,5} C.{2,4} D.{2,5}3.将“x2+y2≥2xy”改写成全称命题,下列说法正确的是( )A.∀x,y∈R,都有 x2+y2≥2xy B.∃x,y∈R,都有 x2+y2≥2xyC.∀x>0,y>0,都有 x2+y2≥2xy D.∃x<0,y<0,都有 x2+y2≤2xy4.命题 p:“∀x∈R,x2-2x+3≤0”的否定是( )A.∀x∈R,x2-2x+3≥0 B.∃x∈R,x2-2x+3>0C.∀x∈R,x2-2x+3<0 D.∃x∈R,x2-2x+3<0 5. 已知集合 ,则 A 是 B 的( )A.充分不必要条件 B.必要不充分条件C.充要条件 D.既不充分也不必要条件6.设 为虚数单位,若(,则的值为( )A. B. C. D.7.函数的定义域为( )A. B. C. D.8.下列各组函数是同一函数的是 ( )①3( )2f xx 与 ( )2g xxx;②( )f xx与2( )g xx;③0( )f xx与01( )g xx;④2( )21f xxx与2( )21g ttt。A.①② B.①③ C.③④ D.①④62,0322xxBxxxA9. 等差数列的公差为 2,若成等比数列,则 =A.8B.6C.4D.2 10.根据右边程序框图,当输入 10 时,输出的是( )A.14.1 B.19 C.12 D.-3011.在△ABC 中,“A>B”是“cosA<cosB”的A.充分不必要条件B.必要不充分条件C.充要条件D.既不充分也不必要条件12.公比为 2 的等比数列{} 的各项都是正数,且 =16,则=A.1 B. 2 C. 4 D.8二,填空题;13.已知 14.已知 15 已知 求 f(x)的最小值16.函数 f(x)=x3-3x2+1 在 x=________处取得极小值.三,解答题;17.(10 分)在△ABC 中,,求。18.( 12 分)等比数列{}na中,已知142,16aa. xfxxxf则,3212  27,2221132fffxxxxxxxf则 ,0,122xxxxxf(1)求数列{}na的通项公式;(2)若35,a a 分别为等差数列{ }nb的第 3 项和第 5 项,试求数列{ }nb的通项公式19.(12 分)集合 A={x|-2≤x≤5},B={x|m+1≤x≤2m-1}.(1)若 B⊆A,求实数 m 的取值范围;(2)...

1、当您付费下载文档后,您只拥有了使用权限,并不意味着购买了版权,文档只能用于自身使用,不得用于其他商业用途(如 [转卖]进行直接盈利或[编辑后售卖]进行间接盈利)。
2、本站所有内容均由合作方或网友上传,本站不对文档的完整性、权威性及其观点立场正确性做任何保证或承诺!文档内容仅供研究参考,付费前请自行鉴别。
3、如文档内容存在违规,或者侵犯商业秘密、侵犯著作权等,请点击“违规举报”。

碎片内容

高三数学第一次月考考试卷 文 (无答案)考试卷

您可能关注的文档

雨丝书吧+ 关注
实名认证
内容提供者

乐于和他人分享知识,从事历史教学,热爱教育,高度负责。

确认删除?
VIP
微信客服
  • 扫码咨询
会员Q群
  • 会员专属群点击这里加入QQ群
客服邮箱
回到顶部