电脑桌面
添加小米粒文库到电脑桌面
安装后可以在桌面快捷访问

高三数学上学期11月份阶段性测试考试卷 文考试卷VIP免费

高三数学上学期11月份阶段性测试考试卷 文考试卷_第1页
1/11
高三数学上学期11月份阶段性测试考试卷 文考试卷_第2页
2/11
高三数学上学期11月份阶段性测试考试卷 文考试卷_第3页
3/11
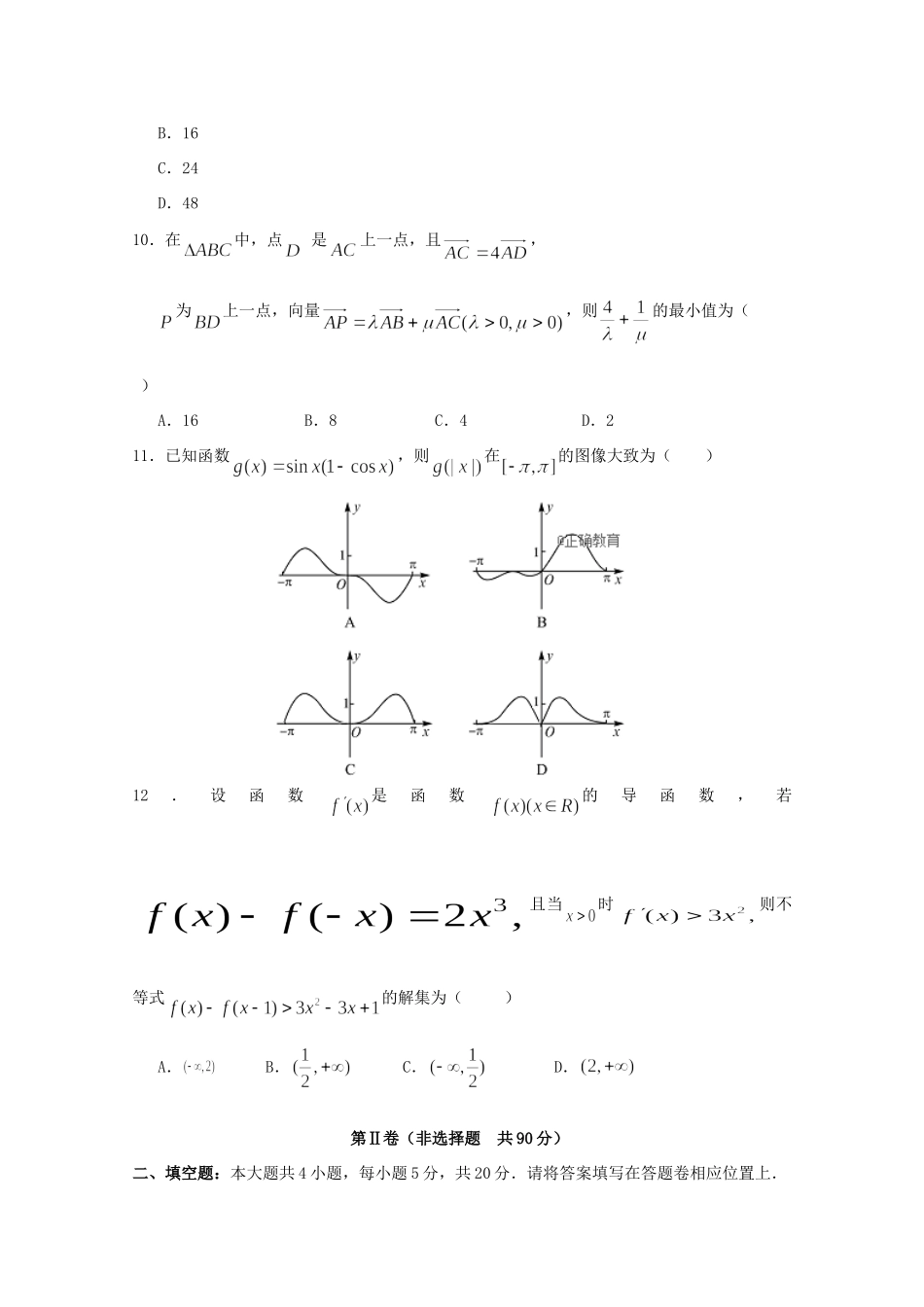
山东省曲阜夫子学校 2019 届高三数学上学期 11 月份阶段性测试试题 文考试说明:1.考查范围:集合与逻辑,复数、函数与基本初等函数,导数,三角函数,解三角形,平面向量,复数,数列,立体几何,不等式及不等式选讲。 2.试卷结构:分第Ⅰ卷(选择题)和第Ⅱ卷(非选择题);试卷分值:150 分,考试时间:120 分钟。第Ⅰ卷(选择题 共 60 分)一、选择题:本大题共 12 小题,每小题 5 分,共 60 分.每一小题给出的四个选项中只有一项是符合题目要求的.1.已知全集,集合,则( )A. B. C. D.2.复数满足(为虚数单位),则复数的虚部为( )A . B . C. D.3 . 已 知, 且是 第 四 象 限 角 , 则的值为( )A.B.C. D.4.已知命题函数在定义域上为减函数,命题在中,若,则,则下列命题为真命题的是( )A. B. C. D. 5.设满足约束条件则的最小值为( )A. B.6 C.2 D.36 . 已 知,,, 则 ( )A.B . C .D.7 . 在中 , 内 角的 对 边 分 别 为,,,,则( )A. B. C.4 D.8.在等差数列中,,公差为,前 n项 和 为, 当 且 仅 当时取得最大值,则的取值范围是( )A. B. C. D. 9.如图,网格纸上小正方形的边长为 1,粗实线画出的是某几何体的三视图,则该几何体的体积为( )A.8 B.16 C.24 D.4810.在中,点 是上一点,且,为上一点,向量,则的最小值为( )A.16 B.8 C.4 D.211.已知函数,则在的图像大致为( )12.设函数是函数的导函数,若且当时则不等式的解集为( )A. B. C. D.第Ⅱ卷(非选择题 共 90 分)二、填空题:本大题共 4 小题,每小题 5 分,共 20 分.请将答案填写在答题卷相应位置上.13.命题“”的否定是 ;14.已知数列满足:,且,则_____________;15.已知向量满足,,,则向量在向量上的投影为 ;16.已知函数 ,则函数的零点有 个.三、解答题:本大题共 6 小题,共 70 分.解答应写出文字说明,演算步骤或证明过程.解答写在答题卡上的指定区域内.17、(本小题满分 10 分) 已知正四棱锥的三视图如图所示,其中正视图和侧视图是两个边长是 2cm 的正三角形,俯视图是边长为 2cm 的正方形及其对角线.求其表面积和体积;18、(本小题满分 10 分)已知向量函数(1)求函数的最小正周期和单调区间;(2)求函数在上的值域.19、(本小题满分 12 分)已知不...

1、当您付费下载文档后,您只拥有了使用权限,并不意味着购买了版权,文档只能用于自身使用,不得用于其他商业用途(如 [转卖]进行直接盈利或[编辑后售卖]进行间接盈利)。
2、本站所有内容均由合作方或网友上传,本站不对文档的完整性、权威性及其观点立场正确性做任何保证或承诺!文档内容仅供研究参考,付费前请自行鉴别。
3、如文档内容存在违规,或者侵犯商业秘密、侵犯著作权等,请点击“违规举报”。

碎片内容

高三数学上学期11月份阶段性测试考试卷 文考试卷

您可能关注的文档

确认删除?
VIP
微信客服
  • 扫码咨询
会员Q群
  • 会员专属群点击这里加入QQ群
客服邮箱
回到顶部