电脑桌面
添加小米粒文库到电脑桌面
安装后可以在桌面快捷访问

高一数学上学期第一次月考(无答案) 新人教版A版考试卷VIP免费

高一数学上学期第一次月考(无答案) 新人教版A版考试卷_第1页
1/5
高一数学上学期第一次月考(无答案) 新人教版A版考试卷_第2页
2/5
高一数学上学期第一次月考(无答案) 新人教版A版考试卷_第3页
3/5
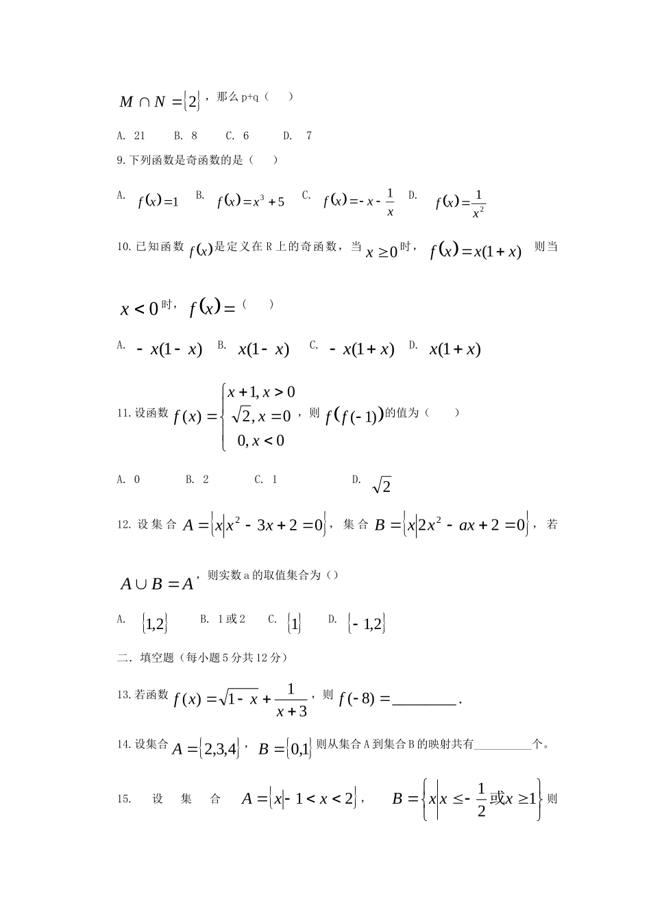
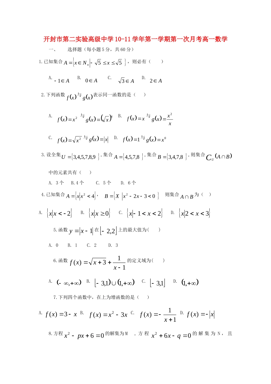
开封市第二实验高级中学 10-11 学年第一学期第一次月考高一数学一、选择题(每小题 5 分,共 60 分)1.已知集合55xNxA,则必有( )A.A 1 B. A0 C. A3 D. A2 2.下列函数  xf与  xg表示同一函数的是( )A.  2xxf与   4xxg B.  xxf与  xxxg2C.  2xxf与  xxg D.  1xf与  0xxg 3.设全集9,8,7,5,4,3U,集合8,7,5,4A,集合8,7,4,3B,则集合BACU中的元素共有( )A. 3 个 B.4 个 C. 5 个 D. 6 个 4.已知集合42 xxA, 0322xxXB 则集合BA 为( )A. 2xx B. 0xx C. 21xx D. 32 xx 5.函数1 xy在2,2上的最大值为( )A. 0 B. 1 C. 2 D. 3 6.函数113)(xxxf的定义域为( )A. , B. ,11,3 C. 1,3 D. ,1 7.下列四个函数中,在上为增函数的是( )A.xxf3)( B. xxxf3)(2  C. 11)(xxf D.xxf)(8.方程062 pxx的解集为 M, 方 程062qxx的 解 集 为 N , 且 2 NM,那么 p+q( )A. 21 B. 8 C. 6 D. 79.下列函数是奇函数的是( )A.  1xf B.  53 xxf C.  xxxf1 D.  21xxf10.已知函数  xf是定义在 R 上的奇函数,当0x时,  )1(xxxf则当0x时,  xf( )A. )1(xx B. )1(xx C. )1(xx D. )1(xx 11.设函数0,00,20,1)(xxxxxf,则 )1(ff的值为( )A. 0 B. 2 C. 1 D. 2 12. 设 集 合0232xxxA, 集 合0222axxxB, 若ABA,则实数 a 的取值集合为()A. 2,1 B. 1 或 2 C.  1 D. 2,1 二.填空题(每小题 5 分共 12 分)13.若函数311)(xxxf,则.________)8(f14.设集合4,3,2A,1,0B则从集合 A 到集合 B 的映射共有__________个。15.设集合21xxA,121xxxB或则.___________ BA16.设函数0,20,1)(2xxxxxf,若10)(0 xf,则.____________0 x三.解答题(共 70 分)17.(本小题 10 分)画出下列...

1、当您付费下载文档后,您只拥有了使用权限,并不意味着购买了版权,文档只能用于自身使用,不得用于其他商业用途(如 [转卖]进行直接盈利或[编辑后售卖]进行间接盈利)。
2、本站所有内容均由合作方或网友上传,本站不对文档的完整性、权威性及其观点立场正确性做任何保证或承诺!文档内容仅供研究参考,付费前请自行鉴别。
3、如文档内容存在违规,或者侵犯商业秘密、侵犯著作权等,请点击“违规举报”。

碎片内容

高一数学上学期第一次月考(无答案) 新人教版A版考试卷

您可能关注的文档

雨丝书吧+ 关注
实名认证
内容提供者

乐于和他人分享知识,从事历史教学,热爱教育,高度负责。

确认删除?
VIP
微信客服
  • 扫码咨询
会员Q群
  • 会员专属群点击这里加入QQ群
客服邮箱
回到顶部