电脑桌面
添加小米粒文库到电脑桌面
安装后可以在桌面快捷访问

高三数学第一次联考考试卷 理考试卷VIP免费

高三数学第一次联考考试卷 理考试卷_第1页
1/20
高三数学第一次联考考试卷 理考试卷_第2页
2/20
高三数学第一次联考考试卷 理考试卷_第3页
3/20
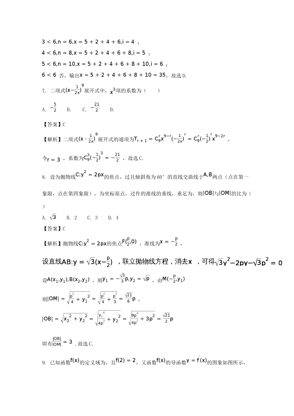
湖南省 2017 届高三·十三校联考第一次考试理科数学试卷第Ⅰ卷一、选择题:本大题共 12 个小题,每小题 5 分,共 60 分.在每小题给出的四个选项中,只有一项是符合题目要求的.1. 已知集合,则( )A. B. C. D. 【答案】D【解析】集合,,所以,故选 D.2. 记复数的共轭复数为,若(为虚数单位),则复数的模 ( )A. B. 1 C. D. 2【答案】A【解析】由,得 , ,故选A. 3. 在等差数列中,,则数列的前 11 项和 ( )A. 24 B. 48 C. 66 D. 132【答案】C【解析】试题分析:设等差数列公差为,则,所以有,整理得,,,故选 C.考点:等差数列的定义与性质.4. 已知表示不超过实数的最大整数,为取整函数,是函数的零点,则等于( )A. 1 B. 2 C. 3 D. 4【答案】B【解析】 ,故 ,故选 B.5. 甲、乙两名同学参加一项射击比赛游戏,其中任何一人每射击一次击中目标得 2 分,未击中目标得 0 分.若甲、乙两人射击的命中率分别为和,且甲、乙两人各射击一次得分之和为 2的概率为.假设甲、乙两人射击互不影响,则值为 ( )A. B. C. D. 【答案】C【解析】设:“甲射击一次,击中目标”为事件,“乙射击一次,击中目标”为事件,则“甲射击一次,未击中目标”为事件,“乙射击一次,击中目标”为事件 ,则 ,依题意得: ,解得 ,故选 C.6. 如下图,是一个算法流程图,当输入的时,那么运行算法流程图输出的结果是( )A. 10 B. 20 C. 25 D. 35【答案】D【解析】当输入的时, ; ; ; ; ; 否,输出,故选 D.7. 二项式展开式中,项的系数为( )A. B. C. D. 【答案】C【解析】二项式展开式的通项为 ,令 ,系数为 ,故选 C.8. 设为抛物线的焦点,过且倾斜角为 60°的直线交曲线于两点(点在第一象限,点在第四象限),为坐标原点,过作的准线的垂线,垂足为,则与的比为( )A. B. 2 C. 3 D. 4【答案】C【解析】抛物线的焦点 ,准线为 , 设 ,则 ,由 则 , 即有 .故选 C.9. 已知函数的定义域为,且,又函数的导函数的图象如图所示,若两个正数满足,则的取值范围是( )A. B. C. D. 【答案】A【解析】由导函数图象,可知函数在 上为单调增函数 ,正数满足, 又因为表示的是可行域中的点与 的连线的斜率。所以当与 相连时斜率最大,为,当与 相连时斜率最小为,的取值范围是,故选:A.10. 已知正内接于半径为 2 的圆,点是...

1、当您付费下载文档后,您只拥有了使用权限,并不意味着购买了版权,文档只能用于自身使用,不得用于其他商业用途(如 [转卖]进行直接盈利或[编辑后售卖]进行间接盈利)。
2、本站所有内容均由合作方或网友上传,本站不对文档的完整性、权威性及其观点立场正确性做任何保证或承诺!文档内容仅供研究参考,付费前请自行鉴别。
3、如文档内容存在违规,或者侵犯商业秘密、侵犯著作权等,请点击“违规举报”。

碎片内容

高三数学第一次联考考试卷 理考试卷

您可能关注的文档

雨丝书吧+ 关注
实名认证
内容提供者

乐于和他人分享知识,从事历史教学,热爱教育,高度负责。

相关文档

确认删除?
VIP
微信客服
  • 扫码咨询
会员Q群
  • 会员专属群点击这里加入QQ群
客服邮箱
回到顶部