电脑桌面
添加小米粒文库到电脑桌面
安装后可以在桌面快捷访问

高三数 平面向量复习考试卷(无答案)考试卷VIP免费

高三数 平面向量复习考试卷(无答案)考试卷_第1页
1/4
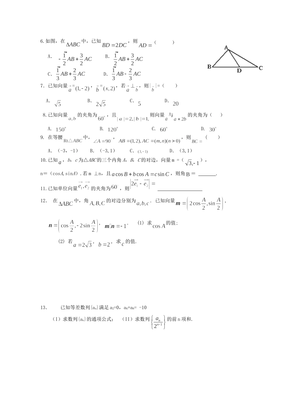
高三数 平面向量复习考试卷(无答案)考试卷_第2页
2/4
高三数 平面向量复习考试卷(无答案)考试卷_第3页
3/4
平面向量测试题一、选择题(本大题共 12 小题,每小题 5 分,共 60 分)1.如图,D、E、F 分别是△ABC 的边 AB、BC、CA 的中点,则 A. AD+BE+CF=0 B .BD-CF+DF=0C. AD+CE-CF=0 D .BD-BE-FC=02.已知 a=(cos 40°,sin 40°),b=(sin 20°,cos 20°),则 a·b 等于 A.1B.C.D.3.已知△ABC 中,AB=a, AC=b,若 a·b<0,则△ABC 是 A.钝角三角形B.直角三角形 C.锐角三角形D.任意三角形4.(2010·山东)定义平面向量之间的一种运算“⊙”如下:对任意的 a=(m,n),b=(p,q),令 a⊙b=mq-np,下面说法错误的是 A.若 a 与 b 共线,则 a⊙b=0 B.a⊙b=b⊙aC.对任意的 λ∈R,有(λa)⊙b=λ(a⊙b) D.(a⊙b)2+(a·b)2=|a|2|b|25.一质点受到平面上的三个力 F1,F2,F3(单位:牛顿)的作用而处于平衡状态.已知F1,F2成 60°角,且 F1,F2的大小分别为 2 和 4,则 F3的大小为 A.6B.2C.2D.26.若向量 a=(1,1),b=(2,5),c=(3,x)满足条件(8a-b)·c=30,则 x 等于 A.6B.5C.4D.37.平面上 O,A,B 三点不共线,设OA=a,OB=b,则△OAB 的面积等于 A.B.C.D.8.O 是平面上一定点,A、B、C 是该平面上不共线的 3 个点,一动点 P 满足:OP=OA+λ(AB+AC),λ∈(0,+∞),则直线 AP 一定通过△ABC 的 A.外心B.内心 C.重心D.垂心9.已知 a=(sin θ,),b=(1,),其中 θ∈,则一定有 A.a∥bB . a⊥b C.a 与 b 的夹角为 45°D.|a|=|b|10.若|a|=1,|b|=,且 a⊥(a-b),则向量 a,b 的夹角为A.45°B.60°C.120°D.135°11.已知向量 a=(sin x,cos x),向量 b=(1,),则|a+b|的最大值( )A.1B.C.3D.912.已知向量 a=(1,2),b=(2,-3).若向量 c 满足(c+a)∥b,c⊥(a+b),则 c=( )A.B. C.D.二、填空题(本大题共 4 小题,每小题 5 分,共 20 分)13.(2010·江西)已知向量 a, b 满足|a|=1,|b|=2,a 与 b 的夹角为 60°,则|a-b|=________.14.(2010·舟山调研)甲船在 A 处观察乙船,乙船在它的北偏东 60°的方向,两船相距 a 海里,乙船正向北行驶,若甲船是乙船速度的倍,则甲船应取方向 __________才能追上乙船;追上时甲船行驶了________海里.15.(2010·天津)如图所示,在△ABC 中,AD⊥AB,BC=BD,|AD|=1,则AC·AD=________.16.(2011·济南模拟)在△AB...

1、当您付费下载文档后,您只拥有了使用权限,并不意味着购买了版权,文档只能用于自身使用,不得用于其他商业用途(如 [转卖]进行直接盈利或[编辑后售卖]进行间接盈利)。
2、本站所有内容均由合作方或网友上传,本站不对文档的完整性、权威性及其观点立场正确性做任何保证或承诺!文档内容仅供研究参考,付费前请自行鉴别。
3、如文档内容存在违规,或者侵犯商业秘密、侵犯著作权等,请点击“违规举报”。

碎片内容

高三数 平面向量复习考试卷(无答案)考试卷

您可能关注的文档

;绿洲书城+ 关注
实名认证
内容提供者

从事历史教学,热爱教育,高度负责。

相关文档

确认删除?
VIP
微信客服
  • 扫码咨询
会员Q群
  • 会员专属群点击这里加入QQ群
客服邮箱
回到顶部