电脑桌面
添加小米粒文库到电脑桌面
安装后可以在桌面快捷访问

高三数学下学期周考考试卷(一)理(PDF)答案VIP免费

高三数学下学期周考考试卷(一)理(PDF)答案_第1页
1/8
高三数学下学期周考考试卷(一)理(PDF)答案_第2页
2/8
高三数学下学期周考考试卷(一)理(PDF)答案_第3页
3/8
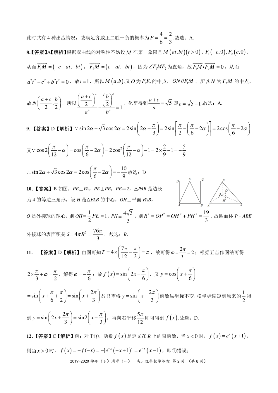
三明一中 2019~2020 学年第二学期周考(一) 高三 理科数学 答案 一、选择题(本题 12 小题,每小题 5 分,共 60 分) 1.【答案】D【解析】当0a =时, B = ∅ ,此时 BA⊆,故0a =满足.当0a >时,1{ |}Bx xa=>,因为 BA⊆,故 11a ≥即01a<≤ .当0a <时,1{ |}Bx xa=<,此时 BA⊆不成立,综上,01a≤≤ . 2.【答案】B【解析】因为 1ii=, 21i = − , 3ii= − ,41i =,,∴2019504 4 3(1)222i ziii× ++=== −, 得22 (1)11(1)(1)iiiziiii−−−=== − −++−,∴1zi= − + .故选:B . 3.【答案】C【解析】因为 pq∧为假,则可能是 ,p q 都为假,或者 ,p q 恰有一个为假; pq∨为假,则等价于 ,p q 都为假;故若 pq∧为假,不一定是 pq∨为假,故充分性不满足;若 pq∨为假,则一定有 pq∧为假,故必要性成立;综上,命题“ pq∧为假”是命题“ pq∨为假”的必要不充分条件.故选:C. 4.【答案】B【解析】由题意作出不等式组对应的平面区域可得:由2zxy=+, 1122yxz= −+,可得直线的截距最大时,, z 最大,可得当直线1122yxz= −+ 经过点 B 时候, z 最大,易得(2,1)B,故可得:max22 14z=+ × =,故选:B. 5.【答案】A【解析】由(1,2)=a,( 2,1)= −b,得( 1,3)ab−+=,所以由()+⊥abc ,得303xyxy− +=⇒=,所以 b 在 c 上的投影为222510|| cos,||210 ||b cxyybb ccyxy⋅−+−〈〉 ==== ±+.故选:A. 6.【答案】C【解析】方差反映一组数据的波动大小,将一组数据中的每个数据都加上或减去同一个常数后,方差不变,故①正确;一个回归方程 ˆ35yx=−,变量 x 增加 1 个单位时, y 平均减少 5 个单位,故②不正确;线性回归方程ˆybxa=+必过样本中心点,故③正确;根据线性回归分析中相关系数的定义:在线性回归分析中,相关系数为 r,||r 越接近于 1,相关程度越大,故④不正确;对于观察值2K 来说,2K越大,“x 与 y 有关系”的可信程度越大,故⑤正确.故选:C 7.【答案】A【解析】不妨设齐威王马匹出场的次序确定为123,,a a a ,则田忌马匹出场次序的可能有: {} {} {} {} {} {}123132213231312321,,,,,,,,,,,,,,,,,b b bb b bb b bb b bb b bb b b故此时共有 6 种出战情况; 若满足齐威王二胜一负,则田忌出场次序的可能是{} {} {} {}132213231321,,,,,,,,,,,b b bb...

1、当您付费下载文档后,您只拥有了使用权限,并不意味着购买了版权,文档只能用于自身使用,不得用于其他商业用途(如 [转卖]进行直接盈利或[编辑后售卖]进行间接盈利)。
2、本站所有内容均由合作方或网友上传,本站不对文档的完整性、权威性及其观点立场正确性做任何保证或承诺!文档内容仅供研究参考,付费前请自行鉴别。
3、如文档内容存在违规,或者侵犯商业秘密、侵犯著作权等,请点击“违规举报”。

碎片内容

高三数学下学期周考考试卷(一)理(PDF)答案

您可能关注的文档

星河书苑+ 关注
实名认证
内容提供者

从事历史教学,热爱教育,高度负责。

相关文档

确认删除?
VIP
微信客服
  • 扫码咨询
会员Q群
  • 会员专属群点击这里加入QQ群
客服邮箱
回到顶部