电脑桌面
添加小米粒文库到电脑桌面
安装后可以在桌面快捷访问

辽宁省大连市旅顺口区 高二数学上学期10月月考考试卷 文考试卷VIP免费

辽宁省大连市旅顺口区 高二数学上学期10月月考考试卷 文考试卷_第1页
1/7
辽宁省大连市旅顺口区 高二数学上学期10月月考考试卷 文考试卷_第2页
2/7
辽宁省大连市旅顺口区 高二数学上学期10月月考考试卷 文考试卷_第3页
3/7
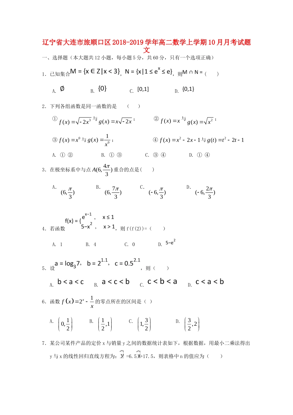
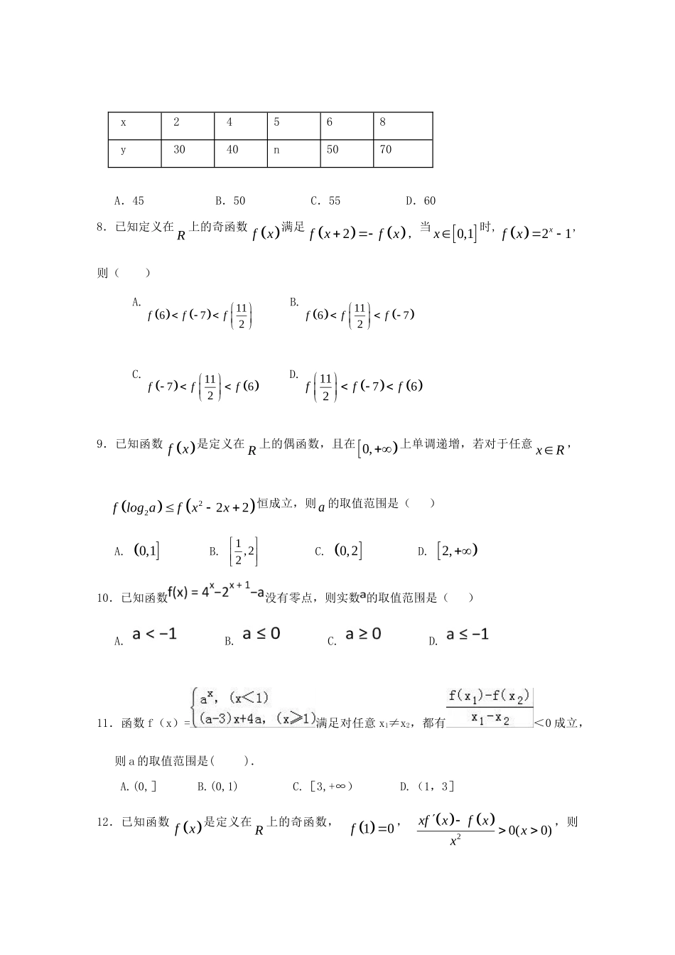
辽宁省大连市旅顺口区 2018-2019 学年高二数学上学期 10 月月考试题 文一、选择题(本大题共 12 小题,每小题 5 分,共 60 分,只有一个选项正确)1.已知集合,,则( )A. B. C. D. 2.下列各组函数是同一函数的是 ( )①3( )2f xx 与 ( )2g xxx; ②( )f xx 与2( )g xx; ③0( )f xx与01( )g xx; ④2( )21f xxx与2( )21g tttA. ① ② B. ① ③ C. ③ ④ D. ① ④3.在极坐标系中与点4(6,)3A重合的点是( )A.(6,)3 B.7(6,)3 C.( 6,)3 D.2( 6,)34.若函数,则 f(f(2))=( )A. 1 B. 4 C. 0 D. 5.设,则( )A. B. C. D. 6.函数 12xf xx的零点所在的区间是( )A. 10, 2 B. 1 ,12 C. 31, 2 D. 3 ,227.某公司某件产品的定价 x 与销量 y 之间的数据统计表如下,根据数据,用最小二乘法得出 y 与 x 的线性回归直线方程为: =6.5 +17.5,则表格中 n 的值应为( ) x 2 45 6 8 y 30 40n 50 70 A.45 B.50 C.55 D.608.已知定义在 R 上的奇函数 f x 满足 2f xf x,当0,1x时,  21xf x ,则( ) A. 11672fff  B. 11672fff C. 11762fff D. 11762fff 9.已知函数 f x 是定义在 R 上的偶函数,且在0, 上单调递增,若对于任意 xR, 2222f log af xx恒成立,则a 的取值范围是( )A. 0,1 B. 1 ,22 C. 0,2 D. 2,10.已知函数没有零点,则实数 的取值范围是( )A. B. C. D. 11.函数 f(x)=满足对任意 x1≠x2,都有<0 成立,则 a 的取值范围是( ). A.(0,] B.(0,1) C.[3,+∞) D.(1,3]12.已知函数 f x 是定义在 R 上的奇函数,  10f ,   20(0)xfxf xxx,则不等式 0xf x 的解集是( ). A.(-1,1) B.(-1,0)U(1,+∞) C.(-∞,-1)U(1,+∞) D.(-∞,-1)二.填空题(本题 4 个小题,每题 5 分,共 20 分)13.参数方程()2()ttttxeetyee 为参数 的普通方程为___________...

1、当您付费下载文档后,您只拥有了使用权限,并不意味着购买了版权,文档只能用于自身使用,不得用于其他商业用途(如 [转卖]进行直接盈利或[编辑后售卖]进行间接盈利)。
2、本站所有内容均由合作方或网友上传,本站不对文档的完整性、权威性及其观点立场正确性做任何保证或承诺!文档内容仅供研究参考,付费前请自行鉴别。
3、如文档内容存在违规,或者侵犯商业秘密、侵犯著作权等,请点击“违规举报”。

碎片内容

辽宁省大连市旅顺口区 高二数学上学期10月月考考试卷 文考试卷

您可能关注的文档

远洋启航书店+ 关注
实名认证
内容提供者

从事历史教学,热爱教育,高度负责。

确认删除?
VIP
微信客服
  • 扫码咨询
会员Q群
  • 会员专属群点击这里加入QQ群
客服邮箱
回到顶部