电脑桌面
添加小米粒文库到电脑桌面
安装后可以在桌面快捷访问

高一数学第三次月考考试卷答案VIP免费

高一数学第三次月考考试卷答案_第1页
1/4
高一数学第三次月考考试卷答案_第2页
2/4
高一数学第三次月考考试卷答案_第3页
3/4
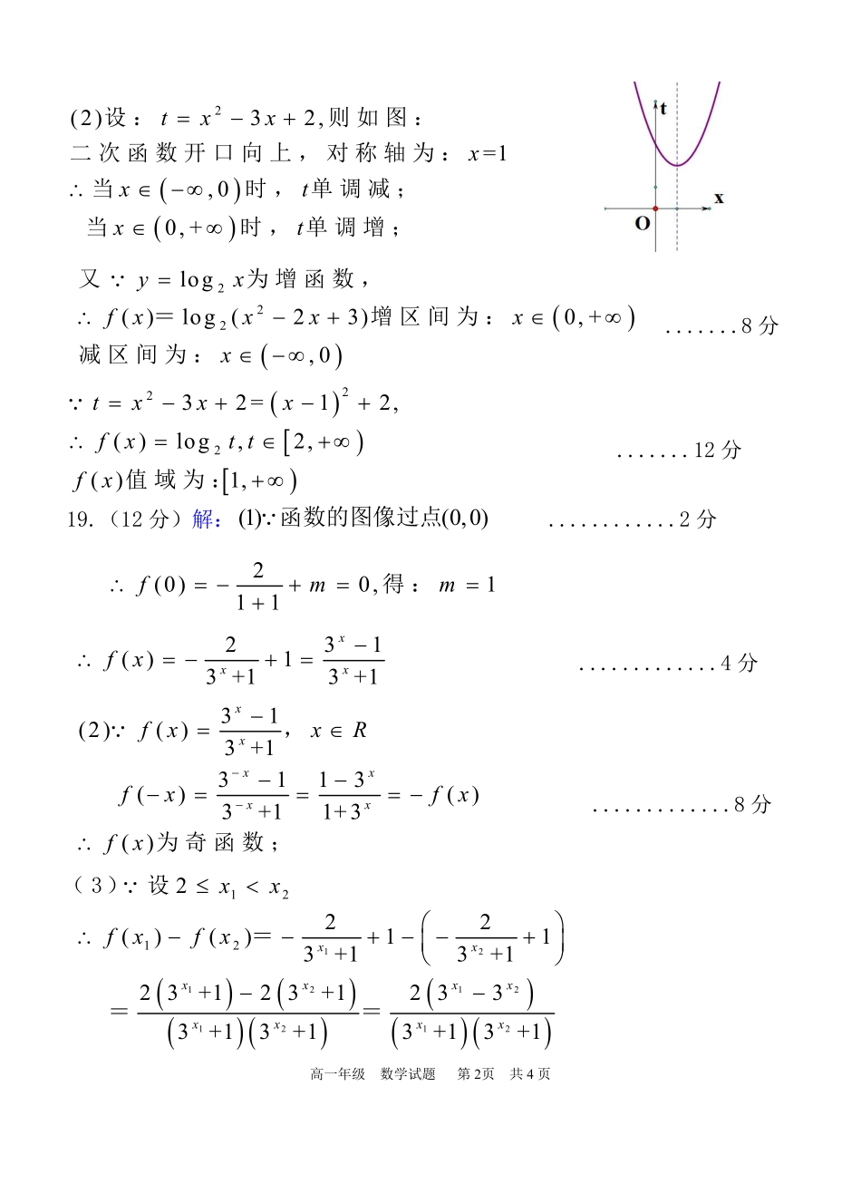
高一年级数学试题第 1页共 4 页西安中学 2016-2017 学年度第一学期第三次月考高一平行班数学试题(时间:120 分钟满分:150 分)命题人:冯寅蛰 杜引娜一.选择题(每小题 5 分,共 60 分.每小题只有一个选项是符合题意的)题号123456789101112选项ACACBCCBDCCB二.填空题(共 4 小题,每小题 5 分,计 20 分)13._34 _.14.__ 9 __.15._ 33 _.【16._33_.三.解答题(共 6 小题,共计 70 分)17.(10 分)解:1420;24;2;(1)122022xxxxxx得 :得 :.............3 分,11, 2x.............5 分3120;1(2)0log302xxx得 :10, 8x .............10 分18.(12 分)解:22(1)2312,xxx2230xx 恒 成 立 ,............2 分Rx定 义 域 :.............4 分高一年级数学试题第 2页共 4 页2(2)32,=1, 00, +txxxxtxt设 :则 如 图 :二 次 函 数 开 口 向 上 , 对 称 轴 为 :当时 , 单 调 减 ; 当时 , 单 调 增 ;222log( )log (23)0, +, 0fyxxxxxx又为 增 函 数 ,增 区 间 为 :减 区 间 为 :=.......8 分22232=12,( )log,2,( )1,txxxfxt tfx值 域 为 :.......12 分19.(12 分)解:(1)(0,0)函数的图像过点............2 分2(0)0,111fmm 得 :231( )13 +13 +1xxxfx .............4 分31(2)( )3 +13113()( )3+11+3( )xxxxxxfxxRfxfxfx , 为 奇 函 数 ;.............8 分  12121212121212222()()113+13+12 3+12 3+12 333+13+13+13+1xxxxxxxxxxxxxxff= ( =设=3)高一年级数学试题第 3页共 4 页1212123,330, 3+10, 3+10,()()0,( )2,xxxxxyxxfxff在 区 间为 增 函 数即 :单 调 增 ......12 分20.(12 分)解:(1)如图,底面是边长为 4 的菱形,PC=3,PB=PD=5,,,PCBC PCBDBCBDB且又 PAABC 平面,.............2 分 EFABC 平面,.............4...

1、当您付费下载文档后,您只拥有了使用权限,并不意味着购买了版权,文档只能用于自身使用,不得用于其他商业用途(如 [转卖]进行直接盈利或[编辑后售卖]进行间接盈利)。
2、本站所有内容均由合作方或网友上传,本站不对文档的完整性、权威性及其观点立场正确性做任何保证或承诺!文档内容仅供研究参考,付费前请自行鉴别。
3、如文档内容存在违规,或者侵犯商业秘密、侵犯著作权等,请点击“违规举报”。

碎片内容

高一数学第三次月考考试卷答案

您可能关注的文档

远洋启航书店+ 关注
实名认证
内容提供者

从事历史教学,热爱教育,高度负责。

确认删除?
VIP
微信客服
  • 扫码咨询
会员Q群
  • 会员专属群点击这里加入QQ群
客服邮箱
回到顶部