电脑桌面
添加小米粒文库到电脑桌面
安装后可以在桌面快捷访问

(01)分式乘除法专项练习60题okVIP免费

(01)分式乘除法专项练习60题ok_第1页
1/14
(01)分式乘除法专项练习60题ok_第2页
2/14
(01)分式乘除法专项练习60题ok_第3页
3/14
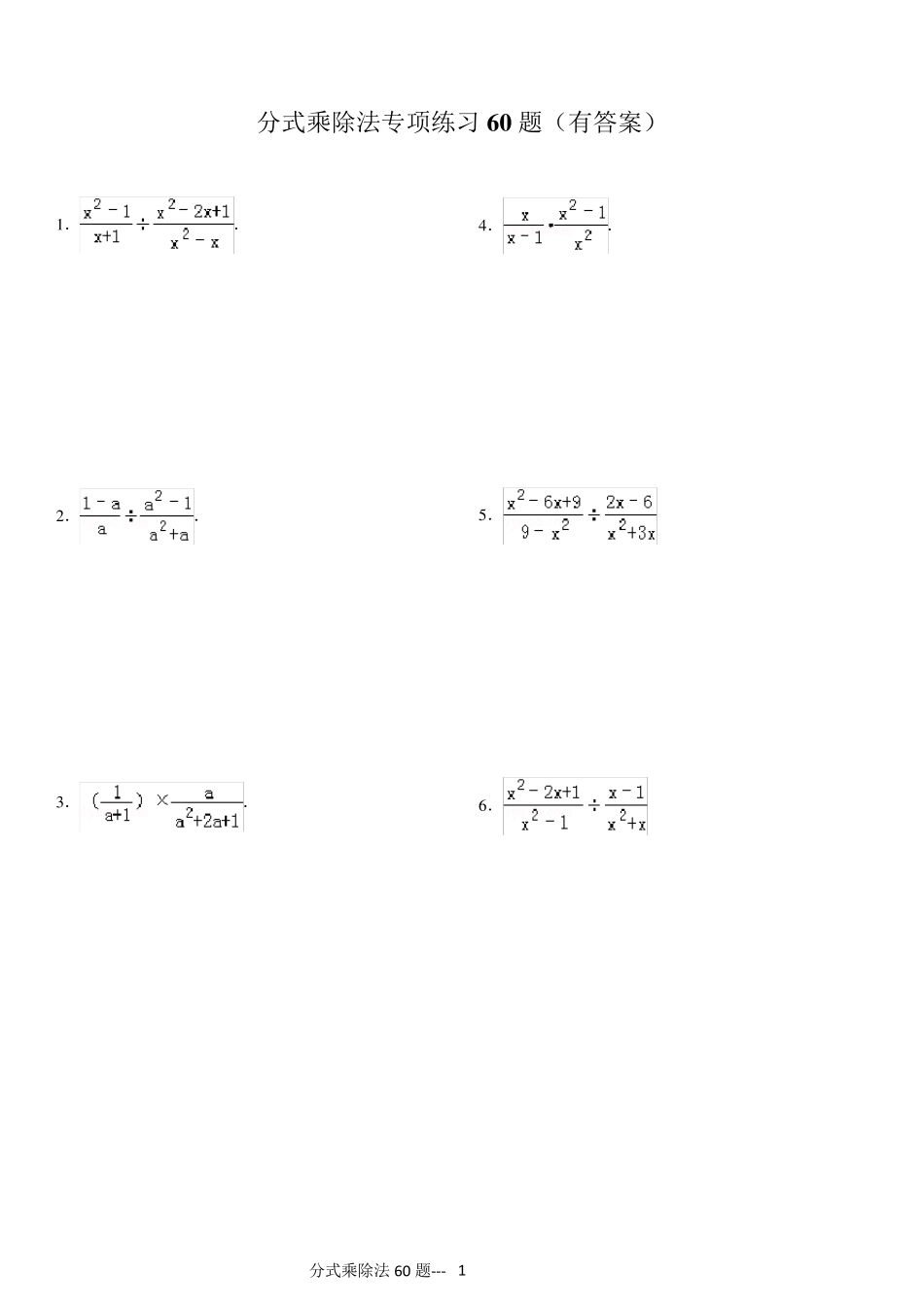
分式乘除法60 题--- 1 分式乘除法专项练习 6 0 题(有答案) 1 .. 2 .. 3 .. 4 .. 5 . 6 . 分式乘除法6 0 题--- 2 7 .把分式化成两个分式的乘积的形式. 8 . 9 . •. 1 0 .. 11 .• (x 2﹣9 ) 12 .(1 ﹣)÷ () 13 .÷• 14 . 分式乘除法 60 题--- 3 15. 16.a÷a• . 17. 18.• 19.. 20.÷. 21.(1)÷(a2﹣4)•; (2)÷(x+1)• 分式乘除法 60 题--- 4 22.. 23.. 24.(1)(12a3b2﹣8a2b3)÷ 4ab (2) 25.×÷ (﹣xy4). 26.(1) (2) 27.×÷. 分式乘除法 6 0 题--- 5 2 8 .(1 )÷;(2 )(﹣)•(x ﹣y)2. 2 9 . 3 0 .. 3 1 .•÷. 3 2 .(﹣)2÷(﹣)3•( )2 3 3 . 3 4 .(1 )÷; (2 ). 分式乘除法 6 0 题--- 6 3 5 .. 3 6 .. 3 7 .. 3 8 .. 3 9 .. 4 0 .. 4 1 .. 4 2 .. 分式乘除法 60 题--- 7 43.. 44.. 45.(﹣2ab)÷•. 46.. 47.÷(a2﹣4)•. 48.. 49.. 50.. 分式乘除法 6 0 题--- 8 5 1 .. 5 2 .. 5 3 .. 5 4 .•. 5 5 .. 5 6 .. 5 7 .÷. 5 8 .. 分式乘除法 6 0 题--- 9 5 9 .. 6 0 .•÷ (﹣)3. 分式乘除法60 题--- 10 参考答案: 1.原式=•=x. 2.原式=÷=×=﹣1. 3.原式=•=,故答案为 4.原式==. 5.原式== 6.原式=÷=•=x 7.==•(答案不唯一) 8.原式== 9.原式=•=. 10.原式==x. 11.原式=• (x+3)(x﹣3)=x+3. 12.原式=,=,=﹣2. 13.原式==. 14.原式== 分式乘除法60 题--- 11 15.原式=••=. 16.a÷ a•=a××= . 17.== 18.•== 19.原式==45a﹣6b﹣6. 20.÷==﹣ . 21.(1)原式=••=; (2)原式== 22.== 23.原式=== 24.(1)原式=12a3b2÷ 4ab﹣8a2b3÷ 4ab=3a2b﹣2ab2; (2)原式==. 25.÷ (﹣xy4)=. 26. 原式=; (分子有个x) (2)原式=()÷ ()=×=. 分式乘除法 60 题--- 12 27.×÷==. 28.(1)原式=•=; (2)原式=•(x﹣y)2=•(x﹣y)2=x﹣y 29.原式=÷÷ =••(x+2)(x﹣2)=3. 30. 原式=•,=2(x﹣2),=2x﹣4. 31.原式==. 32.(﹣)2÷(﹣)3•( )2==﹣ 33.原式===. 34.(1)原式==x﹣3; (2)原式==2x﹣4. 35.原式==﹣2 36.原式=••= x2 37.原式=••=. 38.原式=•=2a﹣4 39.原式=﹣=﹣ 分式乘除法 60 题--- 13 40.===1. 41.原式=••= . 42.原式=•=a. 43.==﹣. 44.原式=•=. 45.原式=﹣2ab••=﹣=﹣ 46.原式=•=. 47.原式==. 48. 原式=,== 49.原式=• (﹣)÷ ()=﹣•• x2y2=﹣xy3. 50.原式=•= 51.原式=, =,=,=1 52.原式=•=. 53.原式=a6••=. 分式乘除法 60 题--- 14 54.原式== 55.==. 56.原式=•=y(x﹣1) 57.原式=×=. 58.原式==. 59. 原式=+=+==2 60.原式=﹣•• (﹣)= .

1、当您付费下载文档后,您只拥有了使用权限,并不意味着购买了版权,文档只能用于自身使用,不得用于其他商业用途(如 [转卖]进行直接盈利或[编辑后售卖]进行间接盈利)。
2、本站所有内容均由合作方或网友上传,本站不对文档的完整性、权威性及其观点立场正确性做任何保证或承诺!文档内容仅供研究参考,付费前请自行鉴别。
3、如文档内容存在违规,或者侵犯商业秘密、侵犯著作权等,请点击“违规举报”。

碎片内容

(01)分式乘除法专项练习60题ok

确认删除?
VIP
微信客服
  • 扫码咨询
会员Q群
  • 会员专属群点击这里加入QQ群
客服邮箱
回到顶部