电脑桌面
添加小米粒文库到电脑桌面
安装后可以在桌面快捷访问

完整版普通物理学复习纲要上VIP免费

完整版普通物理学复习纲要上_第1页
1/16
完整版普通物理学复习纲要上_第2页
2/16
完整版普通物理学复习纲要上_第3页
3/16
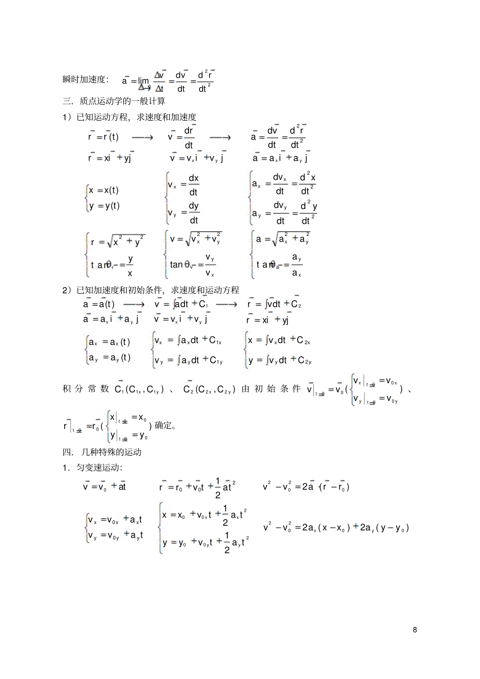
7 普通物理学复习纲要(上)第一章质点运动学一.参照系与坐标系1.参照系: 运动是相对的,所以需要参照系。选择不同参照系对同一质点运动的描述是不同的。2.坐标系: 为定量描述质点的位置变化,需建立坐标系。自然坐标系直角坐标系二.描述质点运动的物理量1.位置矢量、运动方程与轨道方程位置矢量:jyixr运动方程:)(trr)()(tyytxx轨道方程:0),()()(yxftyytxxt消去2.位移与路程位移:r =)()(trttr路程:s='PmP3.速度)(trr,)(tss平均速度:)()(ttrttrtrv瞬时速度:dtrdtrvtlim0平均速率:)()(ttsttstsv瞬时速率:dtdstsvtlim0vv,vv4.加速度)(tvv平均加速度:ttvttvtva)()(XOY图1r),(yxPijXOY图01rtP :ijttP :''rrm8 瞬时加速度:220limdtrddtvdtvat三.质点运动学的一般计算1)已知运动方程,求速度和加速度)(trrdtrdv22dtrddtvdajyixrjvivvyxjaiaayx)()(tyytxxdtdyvdtdxvyx2222dtyddtdvadtxddtdvayyxxxyyxrrt an22xyvyxvvvvvtan22xyayxaaaaat an222)已知加速度和初始条件,求速度和运动方程)(taa1Cdtav2Cdtvrjaiaayxjvivvyxjyixr)()(taataayyxxyyyxxxCdtavCdtav11yyxxCdtvyCdtvx22积 分 常 数),(111yx CCC、),(222yx CCC由 初 始 条 件)(000000ytyxtxtvvvvvv、)(000000yyxxrrttt确定。四. 几种特殊的运动1.匀变速运动:tavv020021tatvrr)(20202rravvtavvtavvyyyxxx002002002121tatvyytatvxxyyxx)(2)(200202yyaxxavvyx9 2.圆周运动:圆周运动的加速度:0vv,00naaantdtdsv,Rvadtdvant2圆周运动的角量描述:22)(dtddtddtdt角量与线量的关系:Rv,2RaRant3.相对运动:位移速度加速度物体相对'K'Kr'Kv'Ka'K 相对 KKKr'KKv'KKa'物体相对 KKKKKrrr''KKKKvvv''KKKKaaa''第二章质点动力学一.牛顿运动定律1.理解牛顿运动定律1)第一定律定性反映了物体的运动与其受力之间的关系:力求使物体的运动状态发生改变;第二定律定量性反映了物体的运动规律与其受力之间的关系:amF;牛顿第三定律反映了力的来源:力来自物体间的相互作用。牛顿运动三定律反映了物体间的相互作用和物体运动之间的相互关系:正是由于物体间的相互作用使得物体的运动状态不断发生改变,使得自然界千变万化,多姿多彩。2)物体的质量:物体惯性大小的量度。3)力:物体与物体间的相互作用。4)牛顿运动定律只有在惯性参照系中成立。2.牛顿第二定律的应用牛顿第二定律的数学表达式:图4OPXRvanata10 矢量式:22dtrdmdtvdmamF分量式:直角坐...

1、当您付费下载文档后,您只拥有了使用权限,并不意味着购买了版权,文档只能用于自身使用,不得用于其他商业用途(如 [转卖]进行直接盈利或[编辑后售卖]进行间接盈利)。
2、本站所有内容均由合作方或网友上传,本站不对文档的完整性、权威性及其观点立场正确性做任何保证或承诺!文档内容仅供研究参考,付费前请自行鉴别。
3、如文档内容存在违规,或者侵犯商业秘密、侵犯著作权等,请点击“违规举报”。

碎片内容

完整版普通物理学复习纲要上

文库当当响+ 关注
实名认证
内容提供者

该用户很懒,什么也没介绍

相关文档

确认删除?
VIP
微信客服
  • 扫码咨询
会员Q群
  • 会员专属群点击这里加入QQ群
客服邮箱
回到顶部