电脑桌面
添加小米粒文库到电脑桌面
安装后可以在桌面快捷访问

完整版解二元一次方程组练习题经典VIP免费

完整版解二元一次方程组练习题经典_第1页
1/16
完整版解二元一次方程组练习题经典_第2页
2/16
完整版解二元一次方程组练习题经典_第3页
3/16
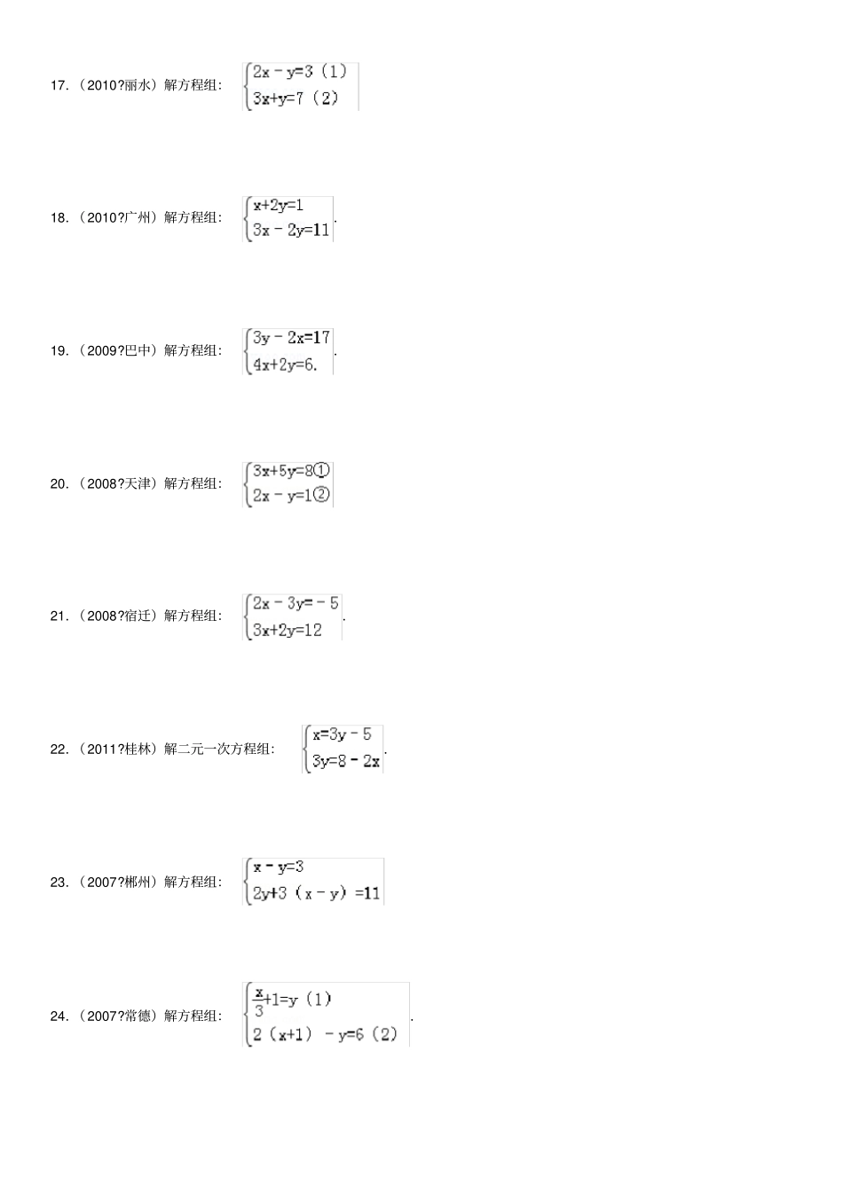
解二元一次方程组练习题1.(2013?梅州)解方程组.2.(2013?淄博)解方程组.3.(2013?邵阳)解方程组:.4.(2013?遵义)解方程组.5.(2013?湘西州)解方程组:.6.(2013?荆州)用代入消元法解方程组.7.(2013?汕头)解方程组.8.(2012?湖州)解方程组.9.(2012?广州)解方程组.10.(2012?常德)解方程组:11.(2012?南京)解方程组.12.(2012?厦门)解方程组:.13.(2011?永州)解方程组:.14.(2011?怀化)解方程组:.15.(2013?桂林)解二元一次方程组:.16.(2010?南京)解方程组:.17.(2010?丽水)解方程组:18.(2010?广州)解方程组:.19.(2009?巴中)解方程组:.20.(2008?天津)解方程组:21.(2008?宿迁)解方程组:.22.(2011?桂林)解二元一次方程组:.23.(2007?郴州)解方程组:24.(2007?常德)解方程组:.25.(2005?宁德)解方程组:26.(2011?岳阳)解方程组:.27.(2005?苏州)解方程组:.28.(2005?江西)解方程组:29.(2013?自贡模拟)解二元一次方程组:.30.(2013?黄冈)解方程组:.解二元一次方程组练习题参考答案与试题解析一.解答题(共30 小题)1.(2013?梅州)解方程组.考点 : 解二元一次方程组;解一元一次方程.专题 : 计算题;压轴题.分析:① +② 得到方程 3x=6,求出 x 的值,把 x 的值代入 ② 得出一个关于y 的方程,求出方程的解即可.解答:解:,① +② 得: 3x=6,解得 x=2 ,将 x=2 代入 ② 得: 2﹣y=1 ,解得: y=1.∴ 原方程组的解为.点评:本题考查了解一元一次方程和解二元一次方程组的应用,关键是把二元一次方程组转化成一元一次方程,题目比较好,难度适中.2.(2013?淄博)解方程组.考点 : 解二元一次方程组.专题 : 计算题.分析:先用加减消元法求出y 的值,再用代入消元法求出x 的值即可.解答:解:,① ﹣2×②得,﹣ 7y=7 ,解得 y= ﹣1;把 y=﹣1 代入 ② 得, x+2×(﹣ 1) =﹣2,解得 x=0,故此方程组的解为:.点评:本题考查的是解二元一次方程组,熟知解二元一次方程组的加减消元法和代入消元法是解答此题的关键.3.(2013?邵阳)解方程组:.考点 : 解二元一次方程组.专题 : 计算题;压轴题.分析:根据 y 的系数互为相反数,利用加减消元法其解即可.解答:解:,① +② 得, 3x=18,解得 x=6 ,把 x=6 代入 ① 得, 6+3y=12 ,解得 y=...

1、当您付费下载文档后,您只拥有了使用权限,并不意味着购买了版权,文档只能用于自身使用,不得用于其他商业用途(如 [转卖]进行直接盈利或[编辑后售卖]进行间接盈利)。
2、本站所有内容均由合作方或网友上传,本站不对文档的完整性、权威性及其观点立场正确性做任何保证或承诺!文档内容仅供研究参考,付费前请自行鉴别。
3、如文档内容存在违规,或者侵犯商业秘密、侵犯著作权等,请点击“违规举报”。

碎片内容

完整版解二元一次方程组练习题经典

文库当当响+ 关注
实名认证
内容提供者

该用户很懒,什么也没介绍

相关文档

确认删除?
VIP
微信客服
  • 扫码咨询
会员Q群
  • 会员专属群点击这里加入QQ群
客服邮箱
回到顶部