电脑桌面
添加小米粒文库到电脑桌面
安装后可以在桌面快捷访问

串联电抗器进行无功补偿的必要性(20121031)VIP免费

串联电抗器进行无功补偿的必要性(20121031)_第1页
1/6
串联电抗器进行无功补偿的必要性(20121031)_第2页
2/6
串联电抗器进行无功补偿的必要性(20121031)_第3页
3/6
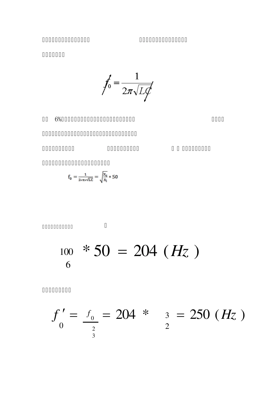
调谐滤波方案说明 一、单一使用电容器进行无功补偿的危害 1. 当配电系统中存在了感性设备(变压器),容性设备(电容器)就会形成谐振电路。当发生串并、联谐振时,谐波电流、电压会被放大20 倍或以上倍数,这里不用考虑谐波的量,只要存在谐波,谐波电流就有被放大的可能。谐振点会随着电容投切量的改变而不断改变,放大的谐波电流次数也会改变,随时随刻都可能发生谐振。这就是我们目前使用的补偿电容器经常鼓肚、爆炸的肯本原因。 2. 用电系统的谐波源是必然存在的(高频整流设备,如可控硅整流器;开关电源等控制系统;各种变频设备,如:大功率中央空调、空调挂机、立柜;电梯;各种影音播放设备;电脑灯具;电动机、水泵;不同容量的UPS 电源等)。 3. 单一使用电容器进行无功补偿,谐波电流会大量流入电容器。谐波电流都是高频电流。感抗会随着频率的升高而变大,容抗会随着频率的升高而变小。(感抗、容抗与频率关系公式如下:) 这样电流会向阻抗小的地方流。电容器工作时都是满负荷工作的,一旦谐波电流流入电容器,量小会造成过电流,影响电容器使用寿命;量大会直接造成电容器鼓肚甚至爆炸,后果不堪设想。 4. 根据以上几点说明,我们不难看出,串联可以改变谐振点的电CfXnnC)()(21LfXnnTR)()(2 抗器进行无功补偿的方案是必要的和必然的,如此的无功补偿设计方案是合理的,是对用户端配电系统的安全负责的。 二、 那么如何解决现存的危机和隐患呢?我们和大家分享一下目前在国际上较为领先的电能质量公司的一些先进技术和产品。 为了提高电容器的使用寿命,为了使电容器从一种消耗品演变成为一种经久耐用的电网设备,很多公司在电容器电压等级、最大过载电流,电抗器耐温度等参数上寻找更合理和安全的指标。 1、目前我们看到的电容器中,我们认为电容器耐压在500V 是比较合理的(电容器的耐压问题,尚在行业中存在异议)。计算一下电容器耐压在500V: 谐波电抗器升压电网电容器++=UUUU %18400%7400400 V500 其中: IEC-60289 中对于电网中谐波电压按照3 次谐波电压含量为0.5%, 5 次为6%、 7 次为5%、 11 次为3.5%、 13 次为3%计算。那么从计算中可以看出,在全面考虑各项指标后,电容器的耐压做到500V 是一种必要和安全的设计。 2、电容器内附熔丝与外附熔丝的区别 电容器选择熔丝保护的形式有内附熔丝与外附熔丝;当选择内附熔丝的电容器时,如果电容器...

1、当您付费下载文档后,您只拥有了使用权限,并不意味着购买了版权,文档只能用于自身使用,不得用于其他商业用途(如 [转卖]进行直接盈利或[编辑后售卖]进行间接盈利)。
2、本站所有内容均由合作方或网友上传,本站不对文档的完整性、权威性及其观点立场正确性做任何保证或承诺!文档内容仅供研究参考,付费前请自行鉴别。
3、如文档内容存在违规,或者侵犯商业秘密、侵犯著作权等,请点击“违规举报”。

碎片内容

串联电抗器进行无功补偿的必要性(20121031)

小辰7+ 关注
实名认证
内容提供者

出售各种资料和文档

相关文档

确认删除?
VIP
微信客服
  • 扫码咨询
会员Q群
  • 会员专属群点击这里加入QQ群
客服邮箱
回到顶部