电脑桌面
添加小米粒文库到电脑桌面
安装后可以在桌面快捷访问

工程光学习题解答__第八章_典型光学系统VIP免费

工程光学习题解答__第八章_典型光学系统_第1页
1/6
工程光学习题解答__第八章_典型光学系统_第2页
2/6
工程光学习题解答__第八章_典型光学系统_第3页
3/6
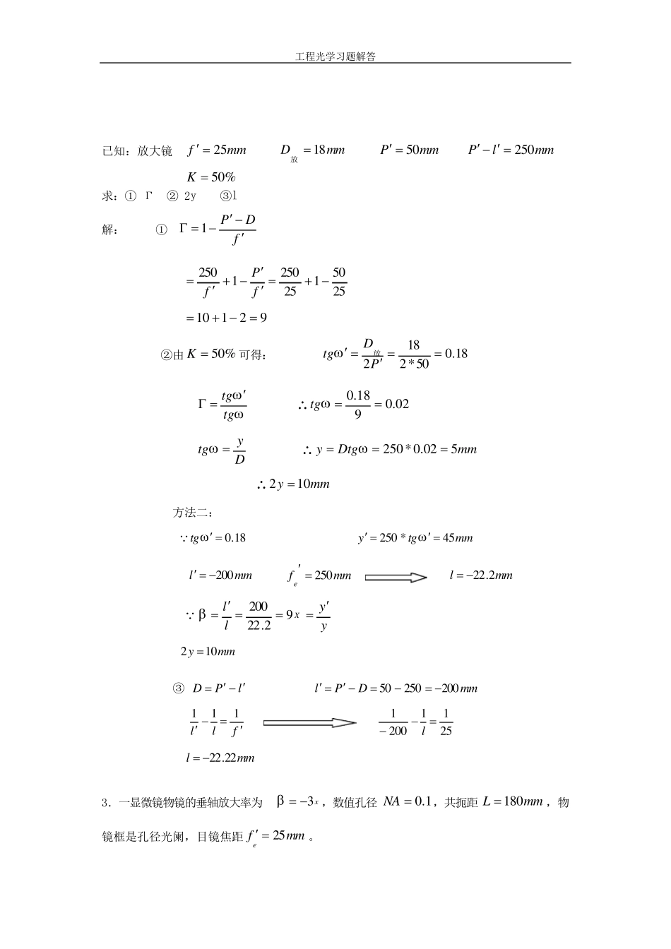
工程光学习题解答 第八章 典型光学系统 1.一个人近视程度是D2(屈光度),调节范围是D8,求: (1)远点距离; (2)其近点距离; (3)配戴100 度近视镜,求该镜的焦距; (4)戴上该近视镜后,求看清的远点距离; (5)戴上该近视镜后,求看清的近点距离。 解: ① 21rlR )/1(m ∴ mlr5.0 ②PRA DA8 DR2 ∴DARP1082 mPlp1.01011 ③fD 1 ∴mf1 ④DDRR1 mlR1 ⑤PRA DA8 DR1 DARP9 mlP11.091 2.一放大镜焦距 mmf25,通光孔径mmD18,眼睛距放大镜为mm50,像距离眼睛在明视距离mm250,渐晕系数为%50k,试求(1) 视觉放大率;(2)线视场;(3)物体的位置。 eye ● l P D 工程光学习题解答 已知:放大镜 mmf2 5 mmD1 8放 mmP5 0 mmlP2 5 0 %5 0K 求:① Γ ② 2y ③l 解:①fDP1 2 55 012 52 5 012 5 0fPf 9211 0 ②由%5 0K可得: 1 8.05 0*21 82PDtg放 tgtg  ∴0 2.091 8.0tg Dytg ∴mmDtgy50 2.0*2 5 0 ∴mmy1 02 方法二: 1 8.0tg mmtgy4 5*2 5 0 mml2 0 0 mmfe2 5 0 mml2.2 2 yyllX92.2 22 0 0 mmy1 02 ③ lPD mmDPl2 0 02 5 05 0 fll111 2 5112 0 01l mml2 2.2 2 3.一显微镜物镜的垂轴放大率为x3,数值孔径1.0NA,共扼距mmL1 8 0,物镜框是孔径光阑,目镜焦距mmfe2 5。 工程光学习题解答 (1)求显微镜的视觉放大率。 (2)求出射光瞳直径。 (3)求出射光瞳距离(镜目距)。 (4)斜入射照明时,m5 5.0,求显微镜的分辨率。 (5)求物镜的通光孔径。 (6)射物高 mmy62,渐晕系数 %5 0k,求目镜的通光孔径。 已知:显微物镜 X3 1.0NA 共轭距 mmL1 8 0物镜框为孔径光阑 mmfe2 5 ① Xeef1 02 52 5 02 5 0 Xe3 0* ② mmNAD6 7.13 01.0*5 0 05 0 0 ③ 由物镜成象关系: 1 8 0)(3llll mmlmml1 3 54 ...

1、当您付费下载文档后,您只拥有了使用权限,并不意味着购买了版权,文档只能用于自身使用,不得用于其他商业用途(如 [转卖]进行直接盈利或[编辑后售卖]进行间接盈利)。
2、本站所有内容均由合作方或网友上传,本站不对文档的完整性、权威性及其观点立场正确性做任何保证或承诺!文档内容仅供研究参考,付费前请自行鉴别。
3、如文档内容存在违规,或者侵犯商业秘密、侵犯著作权等,请点击“违规举报”。

碎片内容

工程光学习题解答__第八章_典型光学系统

确认删除?
VIP
微信客服
  • 扫码咨询
会员Q群
  • 会员专属群点击这里加入QQ群
客服邮箱
回到顶部