电脑桌面
添加小米粒文库到电脑桌面
安装后可以在桌面快捷访问

工程公司工程技术人员证书信息统计表(格式)VIP免费

工程公司工程技术人员证书信息统计表(格式)_第1页
1/12
工程公司工程技术人员证书信息统计表(格式)_第2页
2/12
工程公司工程技术人员证书信息统计表(格式)_第3页
3/12
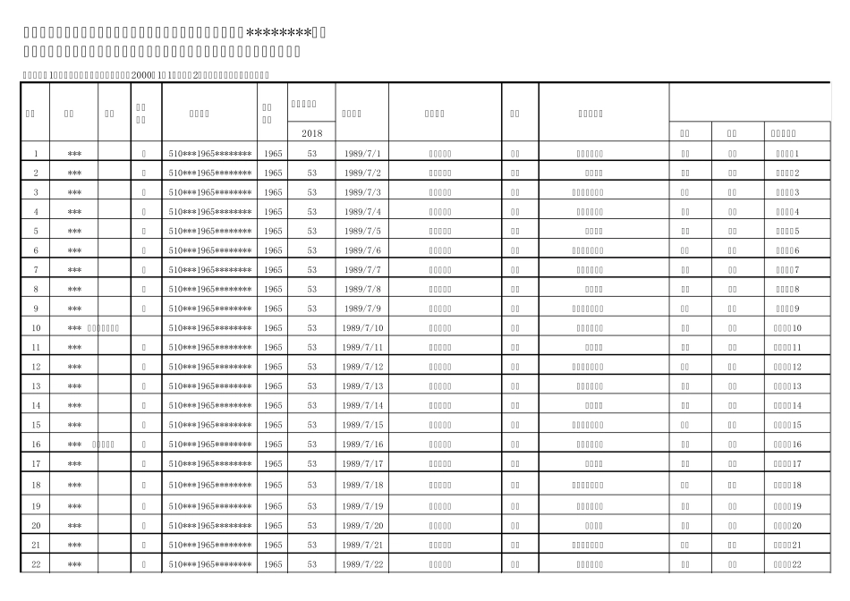
2018级别专业工程类编号1***有510***1965********1965531989/7/1AAA大学本科公路工程管理助理道桥证书编号12***有510***1965********1965531989/7/2BBB大学大专桥梁工程中级道桥证书编号23***有510***1965********1965531989/7/3CCC大学中专公路与城市道路高级机械证书编号34***有510***1965********1965531989/7/4AAA大学本科公路工程管理助理道桥证书编号45***有510***1965********1965531989/7/5BBB大学大专桥梁工程中级道桥证书编号56***有510***1965********1965531989/7/6CCC大学中专公路与城市道路高级机械证书编号67***有510***1965********1965531989/7/7AAA大学本科公路工程管理助理道桥证书编号78***有510***1965********1965531989/7/8BBB大学大专桥梁工程中级道桥证书编号89***有510***1965********1965531989/7/9CCC大学中专公路与城市道路高级机械证书编号910*** (临时证书)有510***1965********1965531989/7/10AAA大学本科公路工程管理助理道桥证书编号1011***有510***1965********1965531989/7/11BBB大学大专桥梁工程中级道桥证书编号1112***有510***1965********1965531989/7/12CCC大学中专公路与城市道路高级机械证书编号1213***有510***1965********1965531989/7/13AAA大学本科公路工程管理助理道桥证书编号1314***有510***1965********1965531989/7/14BBB大学大专桥梁工程中级道桥证书编号1415***有510***1965********1965531989/7/15CCC大学中专公路与城市道路高级机械证书编号1516***(准备走)有510***1965********1965531989/7/16AAA大学本科公路工程管理助理道桥证书编号1617***有510***1965********1965531989/7/17BBB大学大专桥梁工程中级道桥证书编号1718***有510***1965********1965531989/7/18CCC大学中专公路与城市道路高级机械证书编号1819***有510***1965********1965531989/7/19AAA大学本科公路工程管理助理道桥证书编号1920***有510***1965********1965531989/7/20BBB大学大专桥梁工程中级道桥证书编号2021***有510***1965********1965531989/7/21CCC大学中专公路与城市道路高级机械证书编号2122***有510***1965********1965531989/7/22AAA大学本科公路工程管理助理道桥证书编号22使用注意:1、新填入日期须规范化,格式如:2000-1-1, 2、红色填充格证明该证件过期。毕业学校学历毕业证专业 ********公司 工程公司技术人员证书统计明细表序号姓名备注社保情况身份证号出生时间年龄(岁)毕业时间2018级别...

1、当您付费下载文档后,您只拥有了使用权限,并不意味着购买了版权,文档只能用于自身使用,不得用于其他商业用途(如 [转卖]进行直接盈利或[编辑后售卖]进行间接盈利)。
2、本站所有内容均由合作方或网友上传,本站不对文档的完整性、权威性及其观点立场正确性做任何保证或承诺!文档内容仅供研究参考,付费前请自行鉴别。
3、如文档内容存在违规,或者侵犯商业秘密、侵犯著作权等,请点击“违规举报”。

碎片内容

工程公司工程技术人员证书信息统计表(格式)

您可能关注的文档

确认删除?
VIP
微信客服
  • 扫码咨询
会员Q群
  • 会员专属群点击这里加入QQ群
客服邮箱
回到顶部