电脑桌面
添加小米粒文库到电脑桌面
安装后可以在桌面快捷访问

主要材料清单报价表VIP免费

主要材料清单报价表_第1页
1/7
主要材料清单报价表_第2页
2/7
主要材料清单报价表_第3页
3/7
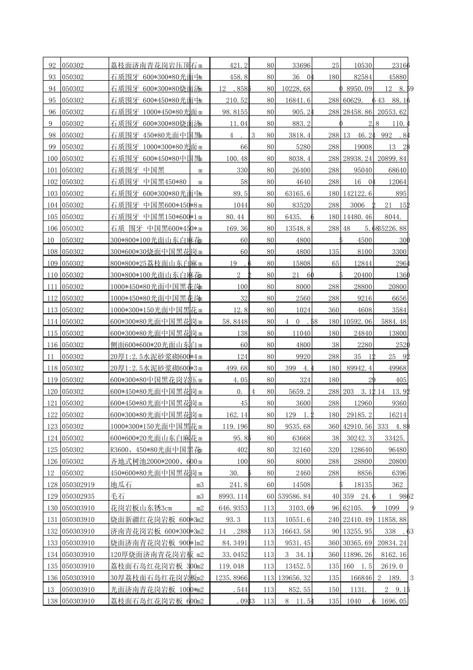
序号编 号名 称单位数量地区价小计市场价小计 差额1000500001综合工日(安装)工日24105.847444 1060657.3561349927289270.22000500003综合工日(土建)工日5943.176444 261499.7656 332817.971318.123000500004综合工日(装饰)工日2293.318444 100906.0156 128425.8 27519.824000500005综合工日(园林)工日206635.841449091977 56 1157160724796305000500006综合工日(市政)工日89676.735644 3945776.456502189710761216600*400*50烧面济南青m262.63416010021.441509395.1-626.347不锈钢盖板个36.21850669701850669708500*300*100青石板m215.2251502283.751502283.759松木坐凳个378500314500850031450010600*500*80 中国黑花岗岩m2182.637640 116887.68560 102276.7 -1461111森林绿地雕m2325000160000500016000012010101921钢筋>φ 10t2.9764 360010714.9 5200 15477.074762.1813010101922钢筋φ 10内t3.8117365013912.855200 19821.055908.214010101925钢筋φ 12t0.30559001799.5 48001464-335.515010101971钢筋φ 6.5t0.9911 60305976.56 48004757.46-1219.116010101973钢筋φ 8t0.38760302333.6148001857.6 -476.0117 010101974钢筋φ 10t0.1216030729.634800580.8-148.8318010101975钢筋φ 14t0.48359002849.748002318.4-531.319 010101976钢筋φ 16t0.91259205399.04 48004377.6-1021.4420010101977 钢筋φ 18t0.0355920207.24800168-39.221010401934角钢t8.35143700 30900.365500 45932.9715032.6122030401竹梢 长1.2m根27723255446822178416633823030501014方撑木m33.419113004444.8316005470.56 1025.7324040102001普通硅酸盐水泥32.5MPat7168.52012902078870.8370 2652352 573481.625040102901普通硅酸盐水泥32.5MPakg12835.63310.293722.330.37 4749.181026.8526040102903水泥32.5MPat57.284425214435.67420 24059.45 9623.7827 050101U光面济南青花岗岩侧石 100m978.584 31.230531.82135 132108.810157728050101U光面中国黑花岗岩侧石 100m134.20831.24187.29425636.74 1449.4529 050101U济南青花岗岩侧石 600*250m319.231.29959.04 11536708 26748.9630050101U中国黑花岗岩收边 300*600m118.6731.23702.536042721.2 39018.731050101U光面济南青花岗岩侧石 600m1089.1631.233981.79 120 130699.296717.4132050101U济南青花岗岩烧面缘石 600m1087.3331.233924.7120 130479.696...

1、当您付费下载文档后,您只拥有了使用权限,并不意味着购买了版权,文档只能用于自身使用,不得用于其他商业用途(如 [转卖]进行直接盈利或[编辑后售卖]进行间接盈利)。
2、本站所有内容均由合作方或网友上传,本站不对文档的完整性、权威性及其观点立场正确性做任何保证或承诺!文档内容仅供研究参考,付费前请自行鉴别。
3、如文档内容存在违规,或者侵犯商业秘密、侵犯著作权等,请点击“违规举报”。

碎片内容

主要材料清单报价表

确认删除?
VIP
微信客服
  • 扫码咨询
会员Q群
  • 会员专属群点击这里加入QQ群
客服邮箱
回到顶部