下载后可任意编辑工程承包合同价格总价合同是指支付给承包方的工程款项在承包合同中是一个规定的金额,即总价。它是以设计图纸和工程说明书...
2011年价格鉴证师执业资格考试《经济学和价格学基础理论》精选模拟试题及答案(九)题目一二总分一、单选题(共 60 题,第小题 1 分)1...
1 第一章 市场需求、供给与均衡价格本章教材结构:需求的含义市场需求决定需求的基本因素需求函数、需求规律和需求曲线市场供给供给的含...
精心整理精心整理纸箱的价格计算公式外箱:(长 +宽+8)/100x (宽 +高+6) /100x 单价 (元/CM2)<~~~ 此尺寸为内径尺寸.中盒: {(...
纸箱价格成本计算2010 年 04 月 15 日 星期四 11:12 1. 以厘米为单位:(长 +宽+5)X(宽 +高+3)X2X1.55X单价/10000=纸箱单价...
下载后可任意编辑价格条款一、单项选择题 1. 负责制定《2024 年国际贸易术语通则》的组织是(B )。A. 国际法协会 B. 国际商会 C....
市各委、办、局、行,市各建设、施工、咨询单位:现行采纳的《建设工程施工合同(示范文本)》( GF—1999—0201),是 1999 年 12 月...
下载后可任意编辑标题市场部合同录入、审核、签定、审批流程图类 别管理流程的编制和使用编 码受控状态组织单元合同录入合同审核合同经理...
个人收集整理仅供参考学习各类马克笔的性能介绍,价格比较及相关手绘技巧性能介绍1.KAKALE卡卡乐的油性马克笔。笔头挺括耐磨损,不起毛不变...
中国潜水打捞行业协会空气潜水作业指导价格1 2010 年5月中国潜水打捞行业协会2 目录1 编制说明 .......................................
学区房政策对住房价格的影响——以北京西城区和海淀区为例The Impact of school district policy on housing price——Taking Bei...
下载后可任意编辑 价格认定协议书样板篇一:房地产价格认定协议书 房地产价格认定协议书organization system and working mode, the...
下载后可任意编辑区域价格联盟协议甲方: 乙方:为保护大家销售利益,制造好的销售市场氛围,本着公平、平等原则,议定以下协议条款,以期...
下载后可任意编辑价格保证协议书甲方:住所地:法定代表人:联系电话: 乙方:住所地:法定代表人:联系电话:甲,乙双方经友好协商,就乙...
下载后可任意编辑 xx 国际家居价格保密协议甲方:武汉 xx 装饰材料有限公司 乙方:公司地址: 楼盘地址:联系方式: 联系方式:甲、...
下载后可任意编辑 价格保密协议 根据《中华人民共和国反不正当竞争法》以及国家、地方政府及行业要求有关规定,本着遵循平等、自愿、协商...
下载后可任意编辑个体工商户代理记账报税价格费用 个体工商户是指有经营能力并依照《个体工商户条例》规定的经工商行政管理部门登记,从事...
下载后可任意编辑 4 医疗服务价格(收费)管理制度
下载后可任意编辑1. 目的为进一步加强物资价格管理,建立内部价格管理制度,完善价格内控体系,建立公开透明、科学合理、监督制约的物资价...
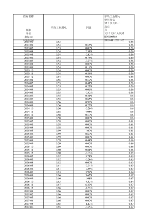
指标名称频率单位指标ID时间区间平均工业用电同比平均工业用电使用价格35千伏及以上北京月元/千瓦时,人民币IEN 0003032003-01 : 2011-05...

