WORD 格式可编辑专业知识整理分享一、土石方及筑路机械费用组成编号机械名称机型规格型号汽油柴油煤电水木柴人工费人工9.908.60600.001.00...
中华人民共和国建设部文件建标[2001]196 号关于发布《全国统一施工机械台班费用编制规则》的通知 各省、自治区建设厅,直辖市建委,国务...
下载后可任意编辑2001 年全国统一施工机械台班费用编制规则(摘要) l 总则1.0.1 为适应全国统一建设市场的需要,统一机械分类,规格型...
下载后可任意编辑200 1 年全国统一施工机械台班费用编制规则(摘要) l 总则 1.0.1 为适应全国统一建设市场的需要,统一机械分类,规...
施工机械寿命台班及年工作台班序号施工机械寿命台班年工作台班动力、燃料台班消耗综合系数式 K 值额定千瓦耗用量(kg kw、H)发动机寿命...
一、土石方及筑路机械费用组成编号机械名称机型规格型号汽油柴油煤电水木柴人工费人工9.908.60600.001.0002.002.0053.00定额元元元元元元kg...
人工材料机械台班消耗量定额 HEN system office room 【HEN16H-HENS2AHENS8Q8-HENH1688】人工、材料、机械台班消耗量定额人工、材料、...
下载后可任意编辑机械设备租赁合同(台班)合同编号: 出租方(以下简称甲方): 承租方(以下简称乙方): 甲乙双方根据《中华人民共和...
下载后可任意编辑工程机械设备租赁合同 苏花 项目部 合同编号: 甲方:江苏苏北花卉股份有限公司 项目部乙方: 甲方租用乙方机械设备...
下载后可任意编辑机械设备租赁合同(按台班/小时) 合同编号:签订日期:签订地点:承租人: (以下简称甲方) 出租人: 身份证号: ...
下载后可任意编辑挖 掘 机 施 工 协 议甲方:乙方:根据《中华人民共和国合同法》之规定,甲乙双方本着平等、互利、共同进展的原则,...
一土石方机械11001单斗挖掘机(液压)0.35m3149.6392.368.06250.051.0021002单斗挖掘机(液压)0.6m3178.13109.959.60297.682.0031003单斗挖掘...
可变项目→人工汽油柴油重油煤电单位→工日千克千克千克千克度49.24.24.92.80.270.81100260以内T80132.5243.682100375以内TY100245.14254.9...
小计人工汽油柴油重油 煤系数工日1.0049.25.24.92.80.2651002 推土机履带式T80型 60kW以内444.9354.4021.5355.980.59132.50243.681003 ...
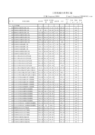
工程机械台班费汇编汇编:huguoqi2004 E-mail:huguoqi2004@163.com一、土石方机械402 60KW以内履带式推土机62.3426.0471.610.65160.642474...
1001履带式推土机 功率(kW) 60 中460.3141.6611.1428.961002履带式推土机 功率(kW) 75 大697.98120.0131.7682.581003履带式推土机 ...
基本折旧费大修理费经常修理费替换设备费安装拆卸费 小计人工(工日)汽油(kg)柴油(kg)电(kwh)风(m3)水(m3)一土石方机械11001 ...
中 华 人 民 共 和 国 建 设 部 文 件 建 标 [2001]196 号 关 于 发 布 《 全 国 统 一 施 工 机 械 台 班...
编号机械名称预算单价J01-01-001胰带式推上机75k\V台.域609. 400J01-01-002履带式推上机90k\V台联743. 020J01-01-003履带式推上机105kW台...
固定费用汽油柴油煤电水木柴定额4年0.938.2000.8001.00定额元元元元元元 元元kgkgtkw·hm3kg元1-1大松土深度(m)0.5131386.73189.58616.1...

