调研走访周边市县煤炭市场报告当前煤炭市场调研情况报告集团公司:煤炭市场下行拐点已经显现,已经影响到珲矿煤炭销售,来势汹猛、形势严峻...
(初稿6)关于赴XX县区等八市县社会事业发展情况的考察报告赴XX县区等地考察学习报告根据县委、县政府安排,8月18日—20日,县全域旅游考察团...
辽、冀、吉五市县工业经济发展考察报告为深入实施工业XX县区战略,加快外经贸企业转型步伐,做大进出口加工业,县委副书记XX带领经济计划局...
市县工业经济发展考察报告为深入实施工业XX县区战略,加快外经贸企业转型步伐,做大进出口加工业,县委副书记XX带领经济计划局和XX公司负责...
辽冀吉五市县工业经济发展考察报告为深入实施工业XX县区战略,加快外经贸企业转型步伐,做大进出口加工业,县委副书记XX带领经济计划局和XX...
安广网络有线数字电视市县联网长距离光传输系统的设计与实施方案书安徽广电信息网络股份有限公司二00六年三月八日目录一、概述二、DVB-C•1...
(初稿6)关于赴XX县区等八市县社会事业发展情况的考察报告赴XX县区等地考察学习报告根据县委、县政府安排,8月18日—20日,县全域旅游考察团...
关于落实加强市县领导班子建设的决定的汇报关于加强各级领导班子建设的情况汇报近年来,工商局把加强各级领导班子建设作为队伍建设的首要任...
省市县三级规划中全域旅游的实践与思考峰观全域(三)5月,全国全域旅游创建工作现场会暨创建工作培训班在XX市XX县区举办,国家旅游局局长李...
第0页共146页编号:时间:2021年x月x日书山有路勤为径,学海无涯苦作舟页码:第0页共146页目录[河北]2012年政府工作报告.....................
XX年市县精神文明建设上半年工作总结和下半年工作计划上半年,我县精神文明建设工作在县委、县政府的正确领导下,在市委文明办的指导下,深...
XX年市县区级机关党建工作计划2020年全市机关党的工作总体思路是以习近平新时代中国特色社会主义思想为指导,全面贯彻习近平总书记对x重要...
第1页共77页日书山有路勤为径,学海无涯苦作舟页码:目录一、参会人员.........................-2-二、日程安排............................
二420XX年04在全省市县矿产资源规划修编工作座谈会上的讲话第一篇:二-4201004在全省市县矿产资源规划修编工作座谈会上的讲话突出重点深化...
团温〔2010〕43号关于印发《温州市县(市、区)团委工作考核办法(暂行)》的通知各县(市、区)团委:现将《温州市县(市、区)团委工作考...
传达学习中央省市县精神情况汇报县委**活动领导小组办公室:根据县委教育实践活动领导小组的通知和县委第四督导组的要求,林业局立即行动,...
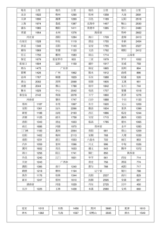
地名公里地名公里地名公里地名公里北京1822株州1290钦州1358大连2691天津1890湘潭1269百色1189辽阳2518上海1974娄底1387北海市1457鞍山2530...
主题教育调研工作方案(市县区级单位、企业4篇)目录“不忘初心、牢记使命”主题教育专题调研工作方案(市级局)1“不忘初心、牢记使命”主...
第1页共10页编号:时间:2021年x月x日书山有路勤为径,学海无涯苦作舟页码:第1页共10页产业集群:皖北和沿淮部分市县跨越发展的关键12008...
第1页共155页编号:时间:2021年x月x日书山有路勤为径,学海无涯苦作舟页码:第1页共155页湖北省县市报研究报告一、县市报生存环境与功能发...

