八年级数学下册第一单元测试(满分:150分时间:120分钟)一、选择题(每题3分,共36分)1、下列各式中①;②;③;④;⑤;⑥一定是二次根式...
二次根式的加减怀远县找郢初级中学王传磊22222223)4(32)3(532)2(32)1(aaayxxxxxxx222如何计算:7245033221811)()()(...
16.1二次根式(2).的式子叫做二次根式形如a)0(a二次根式的定义:二次根式的性质:0,0.aa(双重非负性)复习回忆2)4(2(9)2(16)...
第十六章二次根式16.316.3二次根式的加减二次根式的加减Zxx``k第第11课时课时情境引入情境引入现有一块长为7.5dm、宽为5dm的木板,能否采用...
八年级下册16.2二次根式的乘除(2)课件说明•本课是在学习了二次根式的概念和性质的基础上,结合算术平方根的概念,通过观察,归纳出二次...
678(B)5、CD)30把上二化去分母中的根号后得(12ab(A)4b(B)2為已知a<0,那么k/o2-2a可化简为(A)—(B)a计算宓-莎+*2的结果是()).(C—D3辽(D)...
二次根式单元测试卷16.1二次根式:1.使式子有意义的条件是。2.当时,有意义。3.若有意义,则的取值范围是。4.当时,是二次根式。5.在实数范...
二次根式的加减乘除混合1.计算:(1)()×(2)(5+)(5)(3)(3)÷2(4)(4+3)2(5)()()(6)()()2.已知x=+2,y=-2,求x2+...
瓦窑沟中学九年级数学导学案21.2二次根式的加减法2主备:雷金斗复备:一、复习引入1.计算(1)(2x+y)·zx(2)(2x2y+3xy2)÷xy2.计算...
一、选择题1.下列式子中二次根式的个数有()⑴;⑵;⑶;⑷;⑸;⑹;⑺.A.2个B.3个C.4个D.5个2.当有意义时,a的取值范围是()A.a...
二次根式的化简年级__________班级_________学号_________姓名__________分数____总分一二三一、选择题(共11题,题分合计44分)1.若-1
1.什么叫二次根式?叫做二次根式。式子)0(aa2.两个基本性质:复习提问=aa(a≥0)2a2a-a(a<0)==a∣∣(a≥0)思考:二次根式的除法有没有...
瓦窑沟中学九年级数学导学案21.2二次根式的乘除法1主备:雷金斗复备:一、复习引入1.填空(1)4×9=_______,49=______;(2)16×25=__...
二次根式计算、化简的结果符合什么要求?(1)被开方数不含分母;分母不含根号;(2)被开方数中不含能开得尽方的因数或因式.把下列各根式...
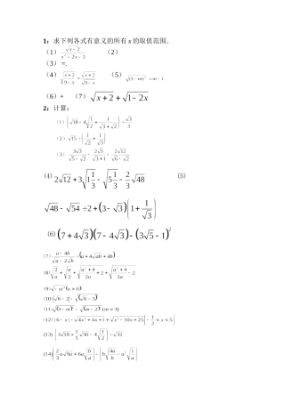
二次根式纯运算(1)(2)(3)(4)(5)(6)(7)(8)(9)(10)(11)(13)(12)(14)(15)(16)(17)(18)(19)(20)(21)...
⑵什么是一个数的算术平方根?如何表示?正数的正的平方根叫做它的算术平方根。回忆回忆⑴什么叫做一个数的平方根?如何表示?一般地,若一...
二次根式导学案二次根式(1)一、学习目标1、了解二次根式的概念,能判断一个式子是不是二次根式。2、掌握二次根式有意义的条件。3、掌握二次...
萝北二中八年级下学期数学第2周周测试题班级姓名成绩一、选择题(每题5分,共25分)1.下列二次根式在全体实数范围内有意义的是()A.B.C...
化简:213(2412).362213(2412)3626266336266333333---(-)-(-)
.的式子叫做二次根式形如a3S655h(a≥0)运用你已有的知识,说说对二次根式的认识.a2.a可以是___,也可以是___;3.形式上含有_______________;...

