电脑桌面
添加小米粒文库到电脑桌面
安装后可以在桌面快捷访问

混凝土结构设计原理计算题(打印)VIP免费

混凝土结构设计原理计算题(打印)_第1页
1/9
混凝土结构设计原理计算题(打印)_第2页
2/9
混凝土结构设计原理计算题(打印)_第3页
3/9
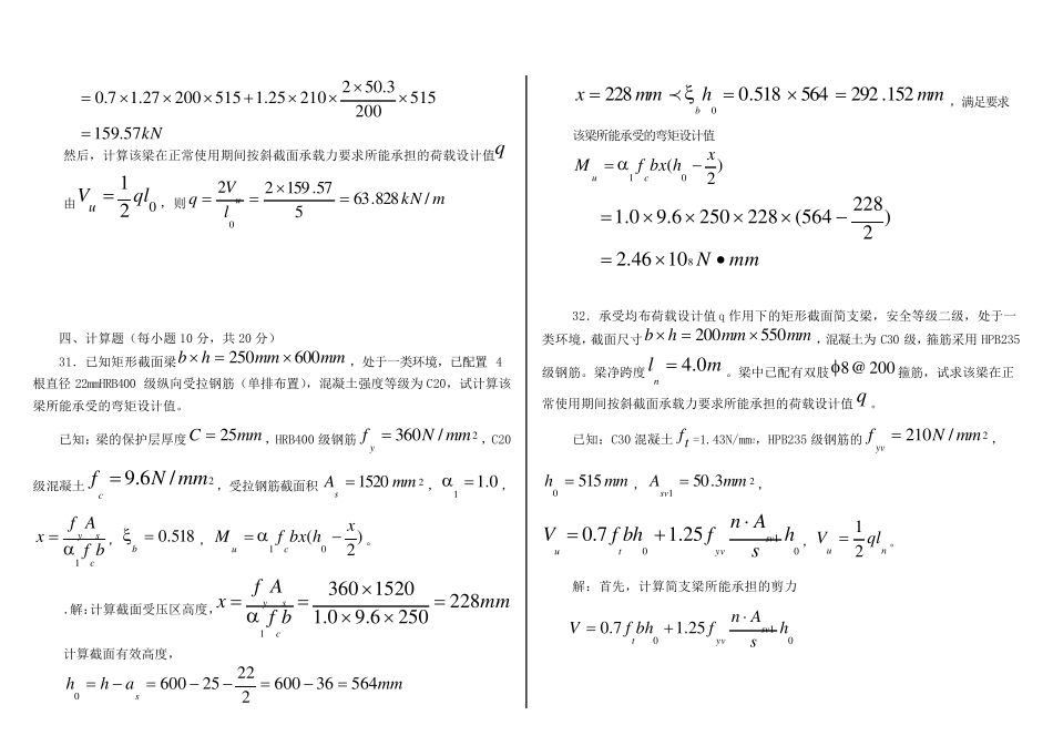
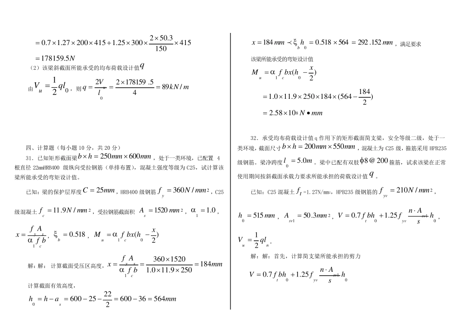
1.(15 分)钢筋混凝土梁截面尺寸b=200mm,h=500mm,混凝土C30,混凝土C30,钢筋采用HRB335 级,环境类别为一级。梁承担的弯矩设计值M=237.2KN·m。受拉钢筋较多,需布置两排,取mmh440605000。求:所需的纵向受力钢筋SA、SA 的值。 已知:3.14cf/N,/300,0.1,212mmNffmmyy54.0bmma35 )5.01(201max1bbcubhfM )(02ahfMAyus ysybcsfAfhbfA01 解:(1)计算受压钢筋SA 为使总用钢量最小,取混凝土受压区高度0hxb mkNmmNbhfMbbcu3.218103.218)54.05.01(54.04402003.140.1)5.01(62201max1 mkNMMMuu9.183.2182.237max12 26026.15535440300109.18)(mmahfMAyus (2)计算受拉钢筋SA 2018.24203006.15530044054.02003.140.1mmfAfhbfAysybcs 2.(10 分)某钢筋混凝土矩形截面简支梁受均布荷载作用,ml40 ,截面尺寸为mmb200;mmh450。混凝土强度等级C25,箍筋为HRB335 型钢筋(yvf=300N/mm 2), 仅配箍筋8@150(双肢箍)。试求出该梁斜截面所能承受的均布荷载设计值q 。 已知:tf =1.27N/mm2,mmh4150  01025.17.0hsAnfbhfVsvyvt 021 qlVu  213.50mmAsv  解:解:(1)计算简支梁所能承担的剪力 01025.17.0hsAnfbhfVsvyvt N5.1781594151503.50230025.141520027.17.0 (2)该梁斜截面所能承受的均布荷载设计值q 由021 qlVu ,则mkNlVqu/8945.178159220 四、计算题(每小题 10 分,共 20 分) 31.已知矩形截面梁mmmmhb600250,处于一类环境,已配置 4根直径 22mmHRB400 级纵向受拉钢筋(单排布置),混凝土强度等级为 C25,试计算该梁所能承受的弯矩设计值。 已知:梁的保护层厚度mmC25,HRB400 级钢筋2/360mmNfy ,C25级混凝土2/9.11mmNfc ,受拉钢筋截面积21520 mmAs , 0.11 ,bfAfxcsy1, 518.0b,)2(01xhbxfMcu  解:解: 计算截面受压区高度,mmbfAfxcsy1842509.110.115203601  计算截面有效高度,mmahhs56436600222256000 mmhmmxb152.292564518.01840,满足要求 该梁所能承受的弯矩设计值 )2(01xhbxfMcu  mmN •81058.2)2184564(1842509.110.1...

1、当您付费下载文档后,您只拥有了使用权限,并不意味着购买了版权,文档只能用于自身使用,不得用于其他商业用途(如 [转卖]进行直接盈利或[编辑后售卖]进行间接盈利)。
2、本站所有内容均由合作方或网友上传,本站不对文档的完整性、权威性及其观点立场正确性做任何保证或承诺!文档内容仅供研究参考,付费前请自行鉴别。
3、如文档内容存在违规,或者侵犯商业秘密、侵犯著作权等,请点击“违规举报”。

碎片内容

混凝土结构设计原理计算题(打印)

您可能关注的文档

确认删除?
VIP
微信客服
  • 扫码咨询
会员Q群
  • 会员专属群点击这里加入QQ群
客服邮箱
回到顶部