电脑桌面
添加小米粒文库到电脑桌面
安装后可以在桌面快捷访问

微分方程例题选解VIP免费

微分方程例题选解_第1页
1/5
微分方程例题选解_第2页
2/5
微分方程例题选解_第3页
3/5
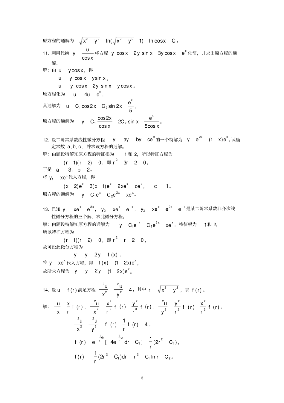
1 微分方程例题选解1.求解微分方程3ln(ln)0 ,|2x exxdyyx dxy。解:原方程化为xyxxdxdy1ln1,通解为]1[ln1ln1Cdxexeydxxxdxxx]ln[ln1Cdxxxx]ln21[ln12Cxx由ex,23y,得1C,所求特解为11lnln2yxx。2.求解微分方程22'0x yxyy。解:令uxy,uxuy,原方程化为2uuuxu,分离变量得dxxudu12,积分得Cxuln1,原方程的通解为lnxyxC。3.求解微分方程dyyyxdxxyx)()(3223。解:此题为全微分方程。下面利用“凑微分”的方法求解。原方程化为03223dyyydyxdxxydxx,由dyyydyxdxxydxx322342222441)(2141dydyxdxydx)2(414224yyxxd,得0)2(4224yyxxd,原方程的通解为Cyyxx42242。注:此题也为齐次方程。4.求解微分方程2''1( ')yy。解:设yp,则dxdpy,原方程化为21pdxdp,分离变量得dxpdp21,积分得1arctanCxp,于是)tan(1Cxpy, 积分得通解为12ln cos()yxCC 。5.求解微分方程''2 '20yyy。解:特征方程为0222rr,特征根为ir1,通解为12(cossin)xyeCxCx 。2 6.求解微分方程2'''(21)xyyxe。解:对应齐次方程的特征方程为02rr,特征根为01r,12r,齐次通解为xeCCY21。可设待定特解xebaxy2)(*,代入原方程得12)(23xbaxa,比较系数得1a,1b,从而xexy2)1(*,原方程的通解为212(1)xxyCC exe。7.求解微分方程''4xyyxe 。解:对应齐次方程的特征方程为012r,特征根为11r,12r,齐次通解为xxeCeCY21。可设待定特解xebaxxy)(*,代入原方程得xbaxa4)2(22,比较系数得1a,1b,从而xexxy)(*2,原方程的通解为212()xxxyC eC exx e 。8.求解微分方程3'' 6 '9(62)xyyyex。解:对应齐次方程的特征方程为0962rr,特征根为321rr,齐次通解为xexCCY321)(。可设待定特解xebaxxy32)(*,代入原方程得2626xbax,比较系数得1a,1b,从而xexxy323)(*,原方程的通解为332312()()xxyCC x exxe。9.利用“凑微分”的方法求解微分方程0)cos()sin(dyyxdxyyxy。解: 由dyyxdxyyxy)cos()sin(ydyxdyydxydxxydxcossinydxdyydxydxxydxsin)(sin)sin()sin(yxyddxyxy,原方程化为dxyxyyxydsin)sin(,积分得Cxyxyln)sinln(,从而通解为xCeyxysin。10. 选择适当的变量代换求解微分方程xyxyyxtan)1(22。解:设22yxu,则uyyxu,原方程化为xuuutan)1(,分离变量得xdxduutan)111(,积分得Cxuucosln)1ln(,3 原方程的通解为Cxyxyxcosln)1ln(2222。11. 利用代换xuycos将方程xexyxyxycos3sin2cos化简,并求出原方程的通解。解:由xyucos,得xyxyusincos,xyxyxyucossin2cos。原方程化为xeuu4,...

1、当您付费下载文档后,您只拥有了使用权限,并不意味着购买了版权,文档只能用于自身使用,不得用于其他商业用途(如 [转卖]进行直接盈利或[编辑后售卖]进行间接盈利)。
2、本站所有内容均由合作方或网友上传,本站不对文档的完整性、权威性及其观点立场正确性做任何保证或承诺!文档内容仅供研究参考,付费前请自行鉴别。
3、如文档内容存在违规,或者侵犯商业秘密、侵犯著作权等,请点击“违规举报”。

碎片内容

微分方程例题选解

您可能关注的文档

文库响当当+ 关注
实名认证
内容提供者

该用户很懒,什么也没介绍

确认删除?
VIP
微信客服
  • 扫码咨询
会员Q群
  • 会员专属群点击这里加入QQ群
客服邮箱
回到顶部