电脑桌面
添加小米粒文库到电脑桌面
安装后可以在桌面快捷访问

2009年考研数学二试题及答案解析VIP免费

2009年考研数学二试题及答案解析_第1页
1/14
2009年考研数学二试题及答案解析_第2页
2/14
2009年考研数学二试题及答案解析_第3页
3/14
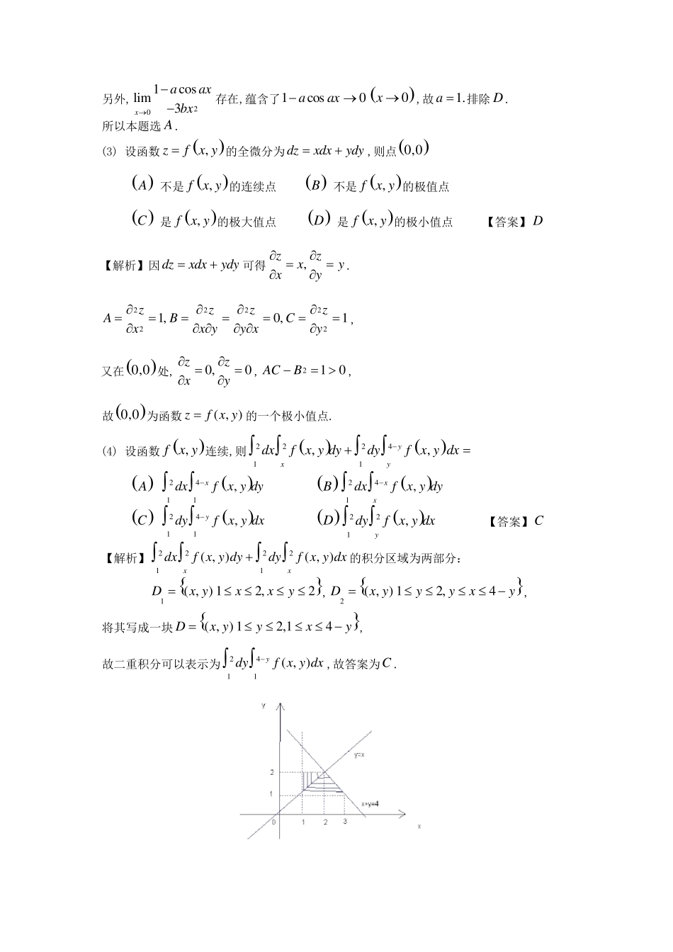
2009 年全国硕士研究生入学统一考试 数学二试题及答案解析 一、选择题:1~8 小题,每小题4 分,共 32 分,下列每小题给出的四个选项中,只有一项符合题目要求,把所选项前的字母填在题后的括号内. (1) 函数 3sinxxf xx的可去间断点的个数为  A 1  B 2  C 3  D 无穷多个 【答案】C 【解析】由于  3sinxxf xx,则当 x 取任何整数时,  f x 均无意义. 故  f x 的间断点有无穷多个,但可去间断点为极限存在的点,故应是30xx的解 1,2,30, 1x . 3200321132111 31limlim,sincos1 32limlim,sincos1 32limlim.sincosxxxxxxxxxxxxxxxxxxxxx 故可去间断点为 3 个,即0, 1 . (2) 当0x 时,  sinf xxax与  2 ln 1g xxbx是等价无穷小,则  A11,6ab   B11,6ab  C11,6ab    D11,6ab  【答案】 A 【解析】 22000( )sinsinlimlimlim( )ln(1)()xxxf xxaxxaxg xxbxxbx  22002301cossinlimlim36sinlim1,66xxxaaxaaxbxbxaaxabbaxa 洛洛 36ab ,故排除 ,B C . 另外,201coslim3xaaxbx存在,蕴含了1cos0aax 0x ,故1.a 排除D . 所以本题选A . (3) 设函数,zf x y的全微分为dzxdxydy,则点0,0  A 不是,f x y 的连续点  B 不是,f x y 的极值点  C 是,f x y 的极大值点  D 是,f x y 的极小值点 【答案】 D 【解析】因dzxdxydy可得,zzxyxy. 2222221,0,1zzzzABCxx yy xy    , 又在0,0 处,0,0zzxy,210ACB , 故0,0 为函数( , )zf x y的一个极小值点. (4) 设函数,f x y 连续,则222411,,yxydxf x y dydyf x y dx  A 2411,xdxf x y dy  B241,xxdxf x y dy  C 2411,ydyf x y dx  D221,ydyf x y dx 【答案】C 【解析】222211( , )( , )xxdxf x y dydyf x y dx的积分区域为两部分: 1( , ) 12,...

1、当您付费下载文档后,您只拥有了使用权限,并不意味着购买了版权,文档只能用于自身使用,不得用于其他商业用途(如 [转卖]进行直接盈利或[编辑后售卖]进行间接盈利)。
2、本站所有内容均由合作方或网友上传,本站不对文档的完整性、权威性及其观点立场正确性做任何保证或承诺!文档内容仅供研究参考,付费前请自行鉴别。
3、如文档内容存在违规,或者侵犯商业秘密、侵犯著作权等,请点击“违规举报”。

碎片内容

2009年考研数学二试题及答案解析

您可能关注的文档

确认删除?
VIP
微信客服
  • 扫码咨询
会员Q群
  • 会员专属群点击这里加入QQ群
客服邮箱
回到顶部