电脑桌面
添加小米粒文库到电脑桌面
安装后可以在桌面快捷访问

2010年全年实习和课程设计项目时间安排表终稿VIP免费

2010年全年实习和课程设计项目时间安排表终稿_第1页
1/14
2010年全年实习和课程设计项目时间安排表终稿_第2页
2/14
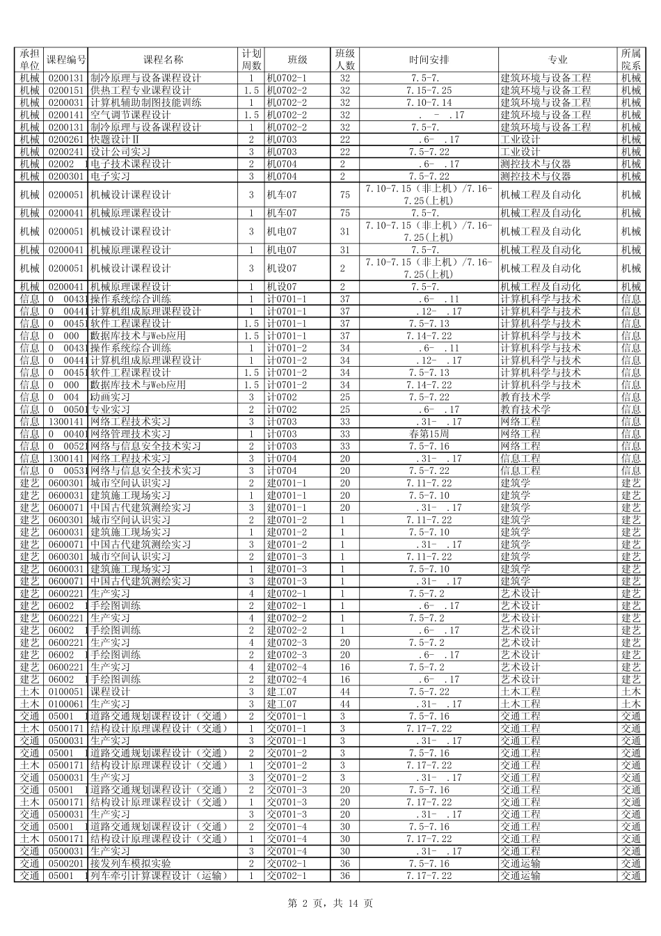
2010年全年实习和课程设计项目时间安排表终稿_第3页
3/14
承担单位课程编号课程名称计划周数班级班级人数时间安排专业所属院系建艺0600091传统村镇建筑调研实习5建0601-1197.5-8.3建筑学建艺建艺0600091传统村镇建筑调研实习5建0601-2197.5-8.3建筑学建艺建艺0600091传统村镇建筑调研实习5建0601-3187.5-8.3建筑学建艺材料0700061 生产实习3材0701-1327.5-7.22无机非金属材料工程材料材料0700191专业技能训练3材0701-1328.31-9.17无机非金属材料工程材料材料0700061 生产实习3材0701-2327.5-7.22无机非金属材料工程材料材料0700191专业技能训练3材0701-2328.31-9.17无机非金属材料工程材料材料0700061 生产实习3材0701-3317.5-7.22无机非金属材料工程材料材料0700191专业技能训练3材0701-3318.31-9.17无机非金属材料工程材料材料0700061 生产实习3材0701-4197.5-7.22无机非金属材料工程材料材料0700191专业技能训练3材0701-4198.31-9.17无机非金属材料工程材料材料0700061 生产实习3材0702-1187.5-7.22金属材料工程材料材料0700191专业技能训练3材0702-1188.31-9.17金属材料工程材料材料0700061 生产实习3材0702-2287.5-7.22金属材料工程材料材料0700191专业技能训练3材0702-2288.31-9.17金属材料工程材料材料0700151 生产实习3材0703207.5-7.22材料科学与工程材料材料0700191专业技能训练3材0703208.31-9.17材料科学与工程材料土木0100051 课程设计3地下07-1247.5-7.22土木工程土木土木0100061 生产实习3地下07-1248.31-9.17土木工程土木土木0100051 课程设计3地下07-2257.5-7.22土木工程土木土木0100061 生产实习3地下07-2258.31-9.17土木工程土木土木0100051 课程设计3地下07-3237.5-7.22土木工程土木土木0100061 生产实习3地下07-3238.31-9.17土木工程土木土木0100051 课程设计3地下07-4257.5-7.22土木工程土木土木0100061 生产实习3地下07-4258.31-9.17土木工程土木土木0100051 课程设计3地下07-5257.5-7.22土木工程土木土木0100061 生产实习3地下07-5258.31-9.17土木工程土木土木0100051 课程设计3地下07-6267.5-7.22土木工程土木土木0100061 生产实习3地下07-6268.31-9.17土木工程土木电气0800041单片机接口设计1电0701-1407.5-7.10电气工程及其自动化电气电气0800081电气测试技术课程设计1电0701-1407.11-7.16电气工程及其自动化电气电气0800071电气控制与PLC课程设计1电0701-1409.13-9.17电气工程及其自动化电气电气0800041单片机接口设计1电0701-2307.5-7.10电气工程及其自动...

1、当您付费下载文档后,您只拥有了使用权限,并不意味着购买了版权,文档只能用于自身使用,不得用于其他商业用途(如 [转卖]进行直接盈利或[编辑后售卖]进行间接盈利)。
2、本站所有内容均由合作方或网友上传,本站不对文档的完整性、权威性及其观点立场正确性做任何保证或承诺!文档内容仅供研究参考,付费前请自行鉴别。
3、如文档内容存在违规,或者侵犯商业秘密、侵犯著作权等,请点击“违规举报”。

碎片内容

2010年全年实习和课程设计项目时间安排表终稿

您可能关注的文档

确认删除?
VIP
微信客服
  • 扫码咨询
会员Q群
  • 会员专属群点击这里加入QQ群
客服邮箱
回到顶部