电脑桌面
添加小米粒文库到电脑桌面
安装后可以在桌面快捷访问

2010年山东高考本科二批提档分数VIP免费

2010年山东高考本科二批提档分数_第1页
1/17
2010年山东高考本科二批提档分数_第2页
2/17
2010年山东高考本科二批提档分数_第3页
3/17
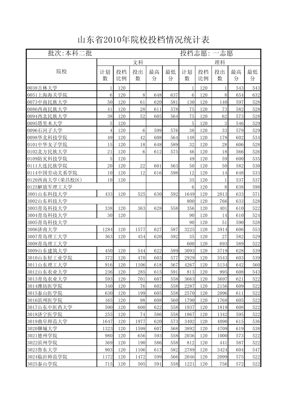
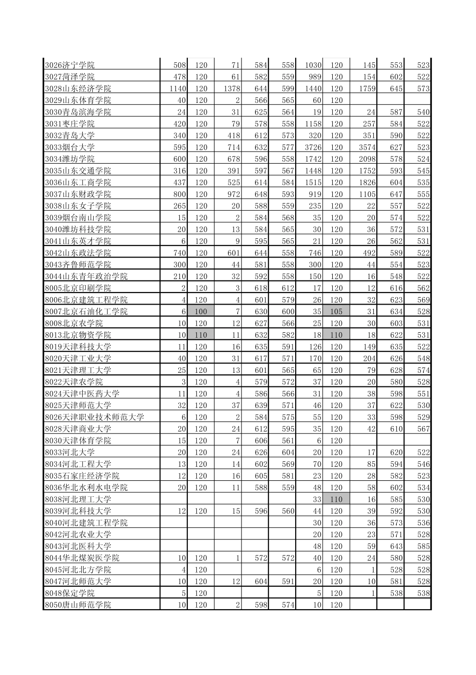
计划数投档比例投出数最高分最低分计划数投档比例投出数最高分最低分0038吉林大学 1120112015435430051上海海关学院 61208648637612086546320073中南民族大学 50120616205811301201405975280086西南民族大学 411202861157875120735825280094西北民族大学 381205260556475120625735280095塔里木大学 5120512035465290096石河子大学 4120659957638120335795290098华北科技学院 49120426085641481201786025340101中华女子学院 151201864858932120286065280102北方民族大学 21120661257546120185665260109防灾科技学院 512049120596005350111大连民族学院 201202260156350120505825300114中国劳动关系学院 101201261659812120146485330120西南大学(荣昌校区) 101203512015375370125解放军理工大学 612086385983001山东科技大学 433120525630592164912020136335713002山东科技大学 8001207666335283003青岛科技大学 3381203636285583561204016105223004青岛科技大学 3012090120146105243005青岛科技大学 90120515905283006济南大学 12841201577627587322512039146065533007青岛理工大学 36312045462059235120275825293008青岛理工大学 6001206935895223009山东建筑大学 450120544622589309312037196285393010山东轻工业学院 372120470603577292912035436035393011山东理工大学 9161201106618567426712051346425603012山东农业大学 2361202856155918131209956085433013青岛农业大学 593120701607558366312036976215223014潍坊医学院 34012076602558228712021566095223015泰山医学院 630120199605558257012020966115223016滨州医学院 16512098608560179012017686055223017山东中医药大学 590120600622558193712018196085223018济宁医学院 25512074586558186712013425955223019曲阜师范大学 16471201977620573340212040906155363020聊城大学 13231201598607568389212047096195383021德州学院 980120656593558203612010005735223022滨州学院 3691201905865588121204415875223023鲁东大学 9031201106613582278912034246045473024临沂师范学院 11721201472599566204612020995755223025泰山学院 7151205055915581221120756572522院校文科理科山东省2010年院校投档情况统计表批次:本科二批投档志愿: 一志愿3026济宁学院 5081207158455810301201455535233027菏泽学院 478120615825599891201546025223028山东经济学院...

1、当您付费下载文档后,您只拥有了使用权限,并不意味着购买了版权,文档只能用于自身使用,不得用于其他商业用途(如 [转卖]进行直接盈利或[编辑后售卖]进行间接盈利)。
2、本站所有内容均由合作方或网友上传,本站不对文档的完整性、权威性及其观点立场正确性做任何保证或承诺!文档内容仅供研究参考,付费前请自行鉴别。
3、如文档内容存在违规,或者侵犯商业秘密、侵犯著作权等,请点击“违规举报”。

碎片内容

2010年山东高考本科二批提档分数

您可能关注的文档

确认删除?
VIP
微信客服
  • 扫码咨询
会员Q群
  • 会员专属群点击这里加入QQ群
客服邮箱
回到顶部