电脑桌面
添加小米粒文库到电脑桌面
安装后可以在桌面快捷访问

2010数列求和高考题及答案VIP免费

2010数列求和高考题及答案_第1页
1/8
2010数列求和高考题及答案_第2页
2/8
2010数列求和高考题及答案_第3页
3/8
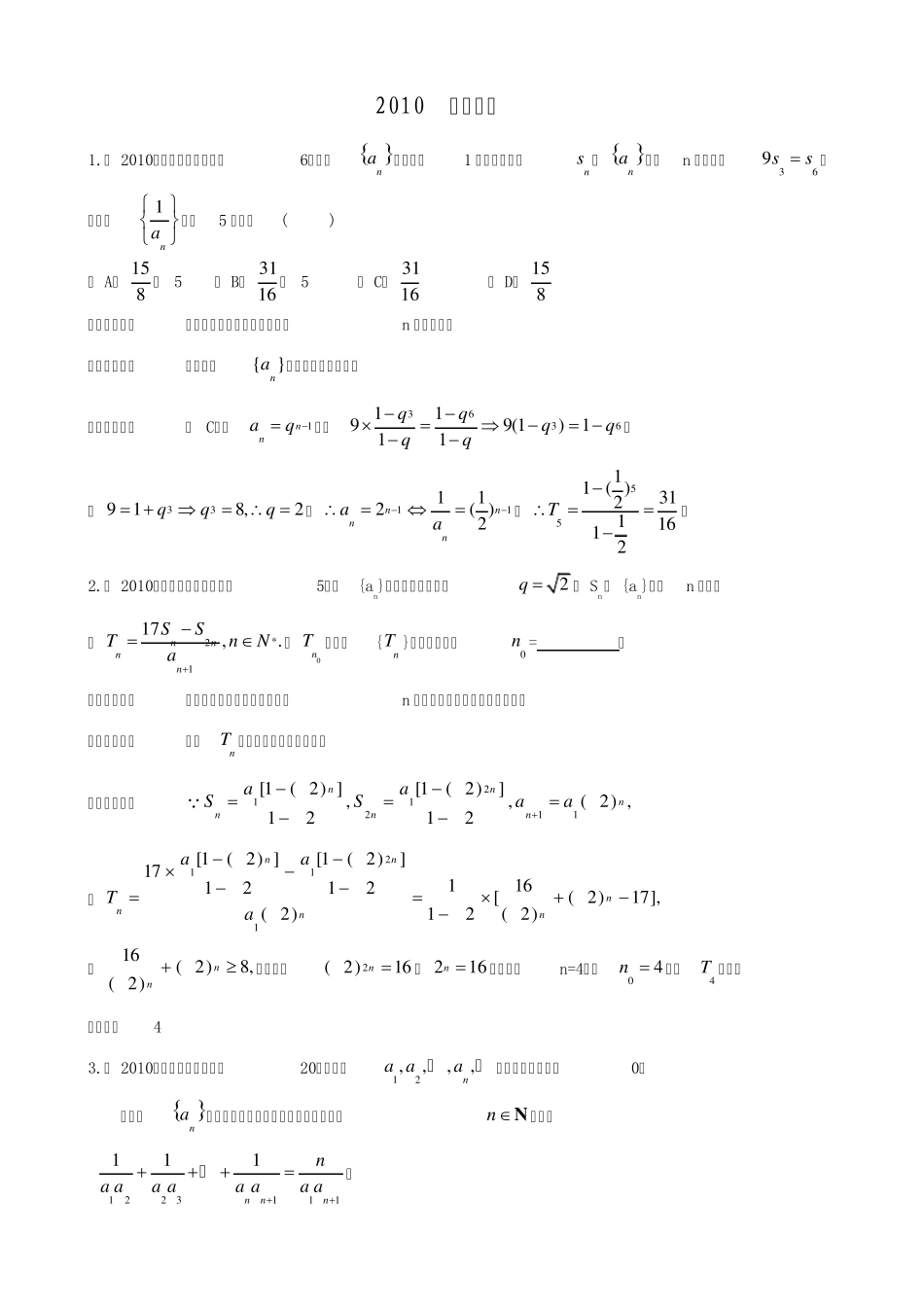
2010 数列求和 1.( 2010·天津高考理科·T6)已知 na是首项为1 的等比数列,ns 是  na的前n 项和,且369ss,则数列1na的前5 项和为( ) ( A) 158 或 5 ( B) 3116 或 5 ( C) 3116 ( D) 158 【命题立意】考查等比数列的通项公式、前n 项和公式. 【思路点拨】求出数列{}na的通项公式是关键. 【规范解答】选 C.设1nnaq ,则36361199(1)111qqqqqq , 即33918,2qqq ,11112( )2nnnnaa,5511 ( )31211612T. 2.( 2010·天津高考文科·T15)设{an}是等比数列,公比2q , Sn为 {an}的前n 项和. 记*2117,.nnnnSSTnNa设0nT 为数列{nT }的最大项,则0n = . 【命题立意】考查等比数列的通项公式、前n 项和、均值不等式等基础知识. 【思路点拨】化简nT 利用均值不等式求最值. 【规范解答】,)2(,21])2(1[,21])2(1[112121nnnnnnaaaSaS ∴],17)2()2(16[211)2(21])2(1[21])2(1[171211nnnnnnaaaT ,8)2()2(16nn当且仅当16)2(2 n即 216n ,所以当n=4,即04n 时,4T 最大. 【答案】4 3.( 2010·安徽高考理科·T20)设数列12,,,,na aa 中的每一项都不为0. 证明: na为等差数列的充分必要条件是:对任何nN ,都有 1223111111nnnna aa aa aa a. 【命题立意】本题主要考查等差数列与充要条件等知识,考查考生推理论证,运算求解能力. 【思路点拨】证明可分为两步,先证明必要性,适宜采用列项相消法,再证明充分性, 可采用数学归纳法或综合法. 【规范解答】已知数列 na中的每一项都不为0,先证"" 若数列 na为等差数列,设公差为d , 当0d 时,有111111()nnnna ad aa, 12231111nna aa aa a122311111111[()()()]nndaaaaaa 111111111111[()]nnnnaandaada aa a 即对任何nN ,有12231111nna aa aa a11nna a成立; 当0d 时,显然12231111nna aa aa a11nna a也成立. 再证"" 对任意nN ,有12231111nna aa aa a11nna a①, 12231121111nnnna aa aa aaa121nna a②, 由②-①得:121nnaa121n...

1、当您付费下载文档后,您只拥有了使用权限,并不意味着购买了版权,文档只能用于自身使用,不得用于其他商业用途(如 [转卖]进行直接盈利或[编辑后售卖]进行间接盈利)。
2、本站所有内容均由合作方或网友上传,本站不对文档的完整性、权威性及其观点立场正确性做任何保证或承诺!文档内容仅供研究参考,付费前请自行鉴别。
3、如文档内容存在违规,或者侵犯商业秘密、侵犯著作权等,请点击“违规举报”。

碎片内容

2010数列求和高考题及答案

确认删除?
VIP
微信客服
  • 扫码咨询
会员Q群
  • 会员专属群点击这里加入QQ群
客服邮箱
回到顶部