电脑桌面
添加小米粒文库到电脑桌面
安装后可以在桌面快捷访问

2011年全国高考新课标理科数学试题及答案VIP免费

2011年全国高考新课标理科数学试题及答案_第1页
1/11
2011年全国高考新课标理科数学试题及答案_第2页
2/11
2011年全国高考新课标理科数学试题及答案_第3页
3/11
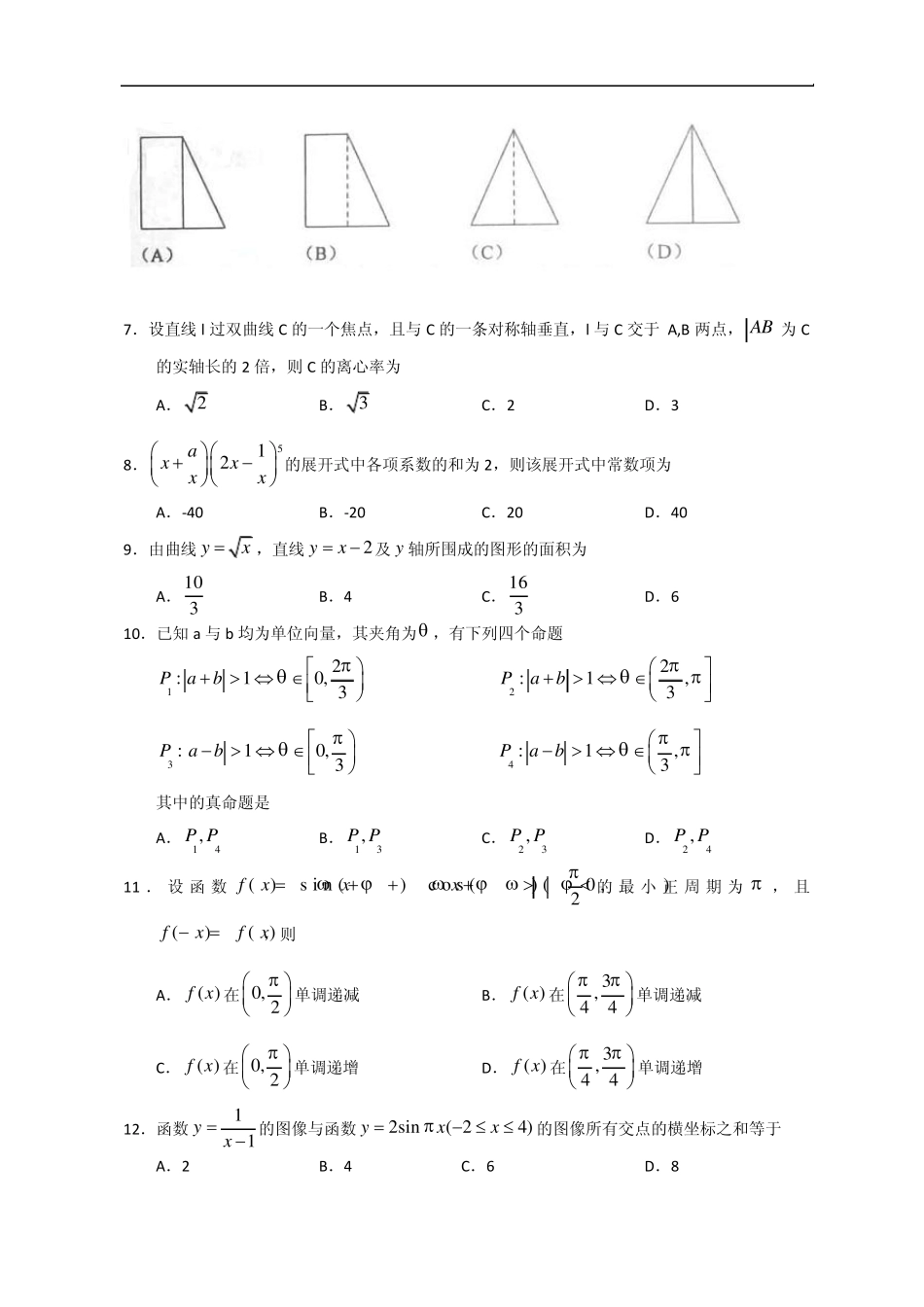
2011 年普通高等学校招生全国统一考试 理科数学 第I 卷 一、选择题:本大题共 12 小题,每小题 5 分,在每小题给出的四个选项中,只有一项是符合题目要求的。 1.复数212ii的共轭复数是 A.35 i B. 35 i C.i D. i 2.下列函数中,既是偶函数,又在(0,  )单调递增的函数是 A.3yx B.1yx C.21yx  D.2 xy 3.执行右面的程序框图,如果输入的N 是 6,那么输出的p是 A. 120 B. 720 C. 1440 D. 5040 4.有3 个兴趣小组,甲、乙两位同学各自参加其中一个小组,每位同学参加各个小组的可能性相同,则这两位同学参加同一个兴趣小组的概率为 A. 13 B. 12 C. 23 D. 34 5.已知角 的顶点与原点重合,始边与x 轴的正半轴重合,终边在直线2yx上,则cos2 = A.45 B.35 C. 35 D. 45 6.在一个几何体的三视图中,正视图和俯视图如右图所示, 则相应的侧视图可以为 7.设直线l过双曲线C 的一个焦点,且与 C 的一条对称轴垂直,l与 C 交于 A,B 两点, AB 为 C的实轴长的2 倍,则 C 的离心率为 A.2 B.3 C.2 D.3 8.512axxxx的展开式中各项系数的和为 2,则该展开式中常数项为 A.-40 B.-20 C.20 D.40 9.由曲线yx,直线 2yx及 y 轴所围成的图形的面积为 A.103 B.4 C.163 D.6 10.已知 a 与 b 均为单位向量,其夹角为 ,有下列四个命题 12:10, 3Pab  22:1,3Pab  3 :10, 3Pab  4 :1,3Pab  其中的真命题是 A.14,P P B.13,P P C.23,P P D.24,P P 11 .设函 数()s i n ()c o s () (0 ,)2fxxx 的最 小 正 周 期 为  , 且()()fxfx,则 A.( )f x 在 0, 2单调递减 B.( )f x在3,44单调递减 C.( )f x 在 0, 2单调递增 D.( )f x在3,44单调递增 12.函数11yx的图像与函数2sin( 24)yxx 的图像所有交点的横坐标之和等于 A.2 B.4 C.6 D.8 第Ⅱ卷 本卷包括必考题和选考题两部分。第13 题---第21 题为必考题,每个试题考生都必须做答。第22 题—第24 题为选...

1、当您付费下载文档后,您只拥有了使用权限,并不意味着购买了版权,文档只能用于自身使用,不得用于其他商业用途(如 [转卖]进行直接盈利或[编辑后售卖]进行间接盈利)。
2、本站所有内容均由合作方或网友上传,本站不对文档的完整性、权威性及其观点立场正确性做任何保证或承诺!文档内容仅供研究参考,付费前请自行鉴别。
3、如文档内容存在违规,或者侵犯商业秘密、侵犯著作权等,请点击“违规举报”。

碎片内容

2011年全国高考新课标理科数学试题及答案

小辰4+ 关注
实名认证
内容提供者

出售各种资料和文档

确认删除?
VIP
微信客服
  • 扫码咨询
会员Q群
  • 会员专属群点击这里加入QQ群
客服邮箱
回到顶部