电脑桌面
添加小米粒文库到电脑桌面
安装后可以在桌面快捷访问

TOREX可替代的型号VIP免费

TOREX可替代的型号_第1页
1/36
TOREX可替代的型号_第2页
2/36
TOREX可替代的型号_第3页
3/36
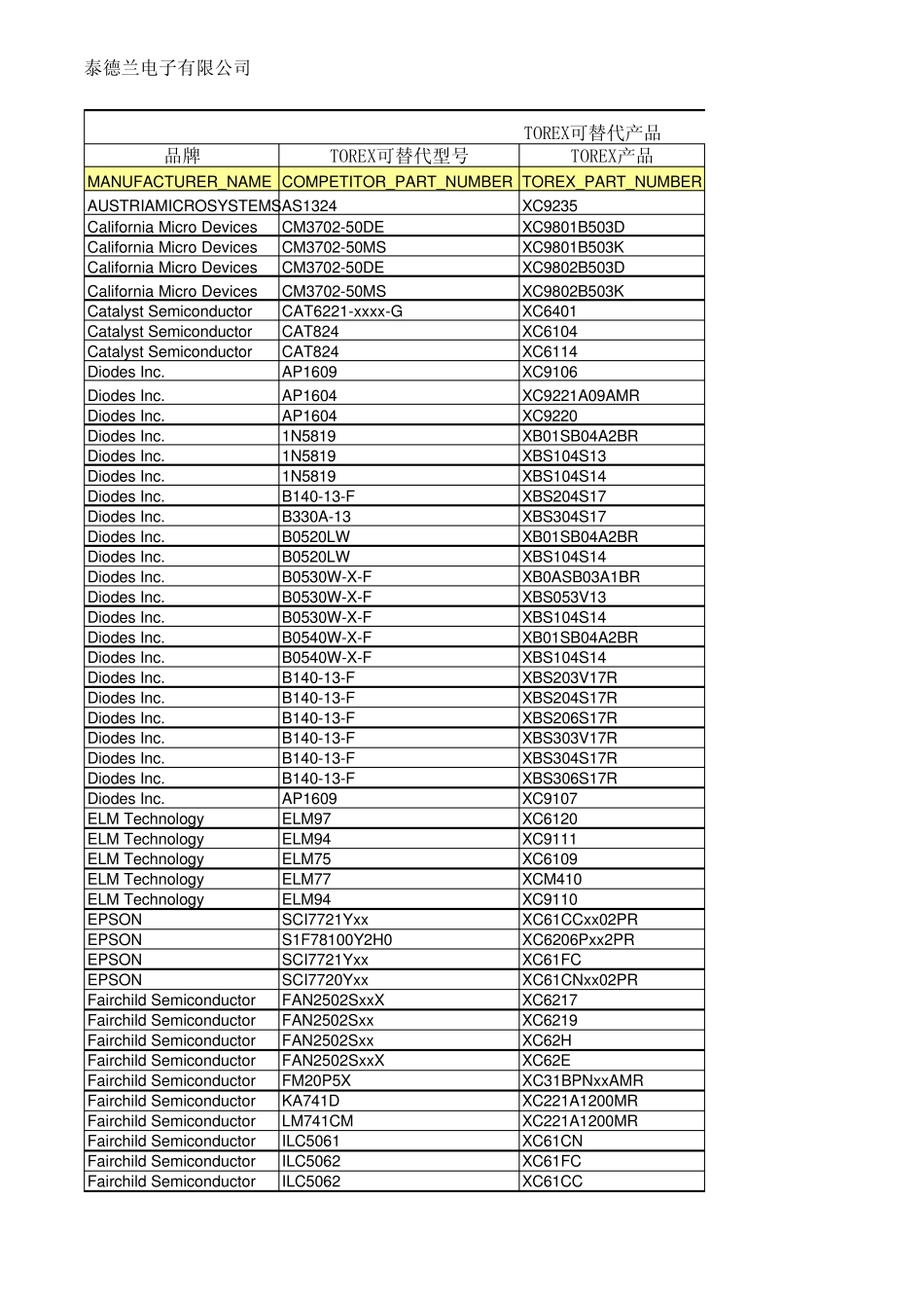
泰德兰电子有限公司0755-83322522品牌TOREX可替代型号TOREX产品MANUFACTURER_NAME COMPETITOR_PART_NUMBER TOREX_PART_NUMBERAUSTRIAMICROSYSTEMSAS1324XC9235California Micro DevicesCM3702-50DEXC9801B503DCalifornia Micro DevicesCM3702-50MSXC9801B503KCalifornia Micro DevicesCM3702-50DEXC9802B503DCalifornia Micro DevicesCM3702-50MSXC9802B503KCatalyst SemiconductorCAT6221-xxxx-GXC6401Catalyst SemiconductorCAT824XC6104Catalyst SemiconductorCAT824XC6114Diodes Inc.AP1609XC9106Diodes Inc.AP1604XC9221A09AMRDiodes Inc.AP1604XC9220Diodes Inc.1N5819XB01SB04A2BRDiodes Inc.1N5819XBS104S13Diodes Inc.1N5819XBS104S14Diodes Inc.B140-13-FXBS204S17Diodes Inc.B330A-13XBS304S17Diodes Inc.B0520LWXB01SB04A2BRDiodes Inc.B0520LWXBS104S14Diodes Inc.B0530W-X-FXB0ASB03A1BRDiodes Inc.B0530W-X-FXBS053V13Diodes Inc.B0530W-X-FXBS104S14Diodes Inc.B0540W-X-FXB01SB04A2BRDiodes Inc.B0540W-X-FXBS104S14Diodes Inc.B140-13-FXBS203V17RDiodes Inc.B140-13-FXBS204S17RDiodes Inc.B140-13-FXBS206S17RDiodes Inc.B140-13-FXBS303V17RDiodes Inc.B140-13-FXBS304S17RDiodes Inc.B140-13-FXBS306S17RDiodes Inc.AP1609XC9107ELM TechnologyELM97XC6120ELM TechnologyELM94XC9111ELM TechnologyELM75XC6109ELM TechnologyELM77XCM410ELM TechnologyELM94XC9110EPSONSCI7721YxxXC61CCxx02PREPSONS1F78100Y2H0XC6206Pxx2PREPSONSCI7721YxxXC61FCEPSONSCI7720YxxXC61CNxx02PRFairchild SemiconductorFAN2502SxxXXC6217Fairchild SemiconductorFAN2502SxxXC6219Fairchild SemiconductorFAN2502SxxXC62HFairchild SemiconductorFAN2502SxxXXC62EFairchild SemiconductorFM20P5XXC31BPNxxAMRFairchild SemiconductorKA741DXC221A1200MRFairchild SemiconductorLM741CMXC221A1200MRFairchild SemiconductorILC5061XC61CNFairchild SemiconductorILC5062XC61FCFairchild SemiconductorILC5062XC61CCTOREX可替代产品77027265.xls泰德兰电子有限公司0755-83322522Fairchild SemiconductorKA75xx0ZXC61CCxx02LRFairchild SemiconductorKA75xx0MXC61CCxx02PRFairchild SemiconductorFAN5307XC9236Fairchild SemiconductorFAN5307XC9237Fairchild SemiconductorKA78XB1085Fair...

1、当您付费下载文档后,您只拥有了使用权限,并不意味着购买了版权,文档只能用于自身使用,不得用于其他商业用途(如 [转卖]进行直接盈利或[编辑后售卖]进行间接盈利)。
2、本站所有内容均由合作方或网友上传,本站不对文档的完整性、权威性及其观点立场正确性做任何保证或承诺!文档内容仅供研究参考,付费前请自行鉴别。
3、如文档内容存在违规,或者侵犯商业秘密、侵犯著作权等,请点击“违规举报”。

碎片内容

TOREX可替代的型号

您可能关注的文档

确认删除?
VIP
微信客服
  • 扫码咨询
会员Q群
  • 会员专属群点击这里加入QQ群
客服邮箱
回到顶部