电脑桌面
添加小米粒文库到电脑桌面
安装后可以在桌面快捷访问

第五讲时间序列的平稳性检验VIP免费

第五讲时间序列的平稳性检验_第1页
1/30
第五讲时间序列的平稳性检验_第2页
2/30
第五讲时间序列的平稳性检验_第3页
3/30
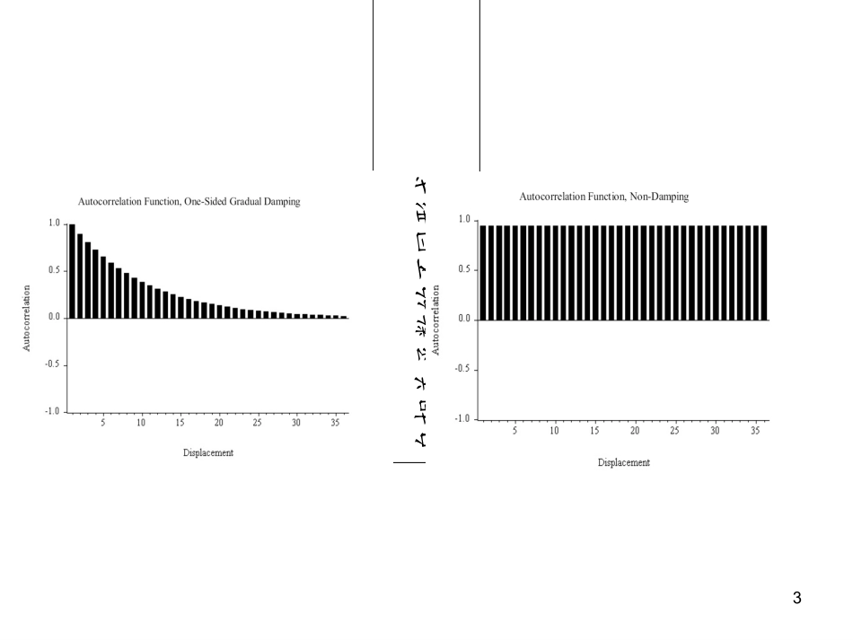
1平稳性的检验方法之一:时序图检验方法•根据平稳时间序列均值、方差为常数的性质,平稳序列的时序图应该显示出该序列始终在一个常数值附近随机波动,而且波动的范围有界、无明显趋势及无季节性特征-60.00%-40.00%-20.00%0.00%20.00%40.00%60.00%80.00%年份税收收入(亿元)税收收入的增长率2平稳性的检验之二:相关图检验•随机变量的相关系数:)])([()(,ttttyyEyyCov•自相关函数:2,0)()(ytttyVaryyCov平稳过程3自相关函数的不同形式4自相关函数的不同形式5•什么样的自相关函数图形才能判断时间序列是平稳的呢?随着位移的增加,所有协方差平稳过程的自相关函数(和偏自相关函数)都会以某种方式趋近于0,其准确衰减模式则取决于序列本身的性质。平稳序列的ACF随着滞后期的增加而迅速下降,而非平稳序列的ACF随着滞后期的增加而下降的很缓慢,由此,ACF表示了序列的“记忆”长度。6样本自相关函数可以说明不同时期的数据之间的相关程度,其取值范围在-1到1之间,值越接近于1,说明时间序列的自相关程度越高。判断时间序列是否平稳,是一项很重要的工作。运用自相关分析图判定时间序列平稳性的准则是:(1)若时间序列的自相关函数在k>3时都落入置信区间,且逐渐趋于零,则该时间序列具有平稳性;(2)若时间序列的自相关函数更多地落在置信区间外面,则该时间序列就不具有平稳性。实践中如何检验序列的平稳性?7检验1964年—1999年中国纱年产量序列的平稳性检验1964年—1999年中国纱年产量序列的平稳性8检验1949年——1998年北京市每年最高气温序列的平稳性检验1949年——1998年北京市每年最高气温序列的平稳性9平稳性检验之三:单位根检验由于伪回归问题的存在,在回归模型中应避免直接使用非平稳变量。因此检验变量的平稳性是一个必须解决的问题。以上介绍了用相关图判断时间序列的平稳性,这里讨论严格的统计检验方法,即单位根检验。10单整性单整过程的统计特征DF分布DF临界值单位根检验11随机游走过程ttttyyy1非平稳过程差分变换平稳过程tttyy1AR(1)过程1单整性单整性12单整性•如果一个非平稳时间序列能够通过适当的差分变换成为平稳的时间序列,那么该序列就是单整序列(integratedseries)。如果只需要一次差分,则称序列是一阶单整的,或写成I(1)。更一般地,如果需要d次差分,则称序列是d阶单整的,或I(d)。:),(qpARMA•如果自回归滞后算子多项式的所有p个根的逆都在单位圆内,则该过程是一个平稳过程;如果其中一个根位于单位圆上,则称该过程有一个单位自回归根(unitautoregressiveroot),简称单位根(unitroot)。),1(qpARMA13表5.1随机游走过程和平稳的一阶自回归过程统计特征比较随机游走过程平稳的一阶自回归过程方差tu2(无限的)u2/(1-12)(有限的)自相关系数k=)/(1Tk1,k,Tk=1k穿越零均值点的期望时间无限的有限的记忆性永久的暂时的?1随机游走和平稳的AR(1)过程的统计性质tttyy114•包含漂移项的随机游走(randomwalkwithdrift)这是一个趋势项和一个随机游走过程之和,称作随机趋势过程(差分平稳过程)。-200204060801001201002003004005006007008009001000y=0.1+y(-1)+u-100-80-60-40-200201002003004005006007008009001000y=-0.1+y(-1)+utttay-5051015202520406080100120140160180200y=0.1t+u确定性趋势过程:(去势平稳过程)tttatyy)(15包含时间和漂移项的随机游走(含有随机趋势和确定性趋势的混合随机过程)-500501001502002501002003004005006007008009001000y=0.1+0.1t+y(-1)+utttyty1含有随机趋势和确定性趋势的混合随机过程实际上是随机游走加上一个时间t的2次方过程。16),(qpARMA:),,(qdpARIMA17单位根过程•随机序列称为单位根过程,如果,ty11平稳过程1非平稳过程、非单位根过程18单位根检验20世纪70年代,Dickey和Fuller提出了DF统计量,用于检验序列是否包含单位根过程以及单整的阶数,称为DF检验。Dickey,D.andFuller,WA(1979)“Distributionoftheestimatesforautoregressivetim...

1、当您付费下载文档后,您只拥有了使用权限,并不意味着购买了版权,文档只能用于自身使用,不得用于其他商业用途(如 [转卖]进行直接盈利或[编辑后售卖]进行间接盈利)。
2、本站所有内容均由合作方或网友上传,本站不对文档的完整性、权威性及其观点立场正确性做任何保证或承诺!文档内容仅供研究参考,付费前请自行鉴别。
3、如文档内容存在违规,或者侵犯商业秘密、侵犯著作权等,请点击“违规举报”。

碎片内容

第五讲时间序列的平稳性检验

您可能关注的文档

确认删除?
VIP
微信客服
  • 扫码咨询
会员Q群
  • 会员专属群点击这里加入QQ群
客服邮箱
回到顶部