电脑桌面
添加小米粒文库到电脑桌面
安装后可以在桌面快捷访问

典型二次根式计算及解析VIP免费

典型二次根式计算及解析_第1页
1/18
典型二次根式计算及解析_第2页
2/18
典型二次根式计算及解析_第3页
3/18
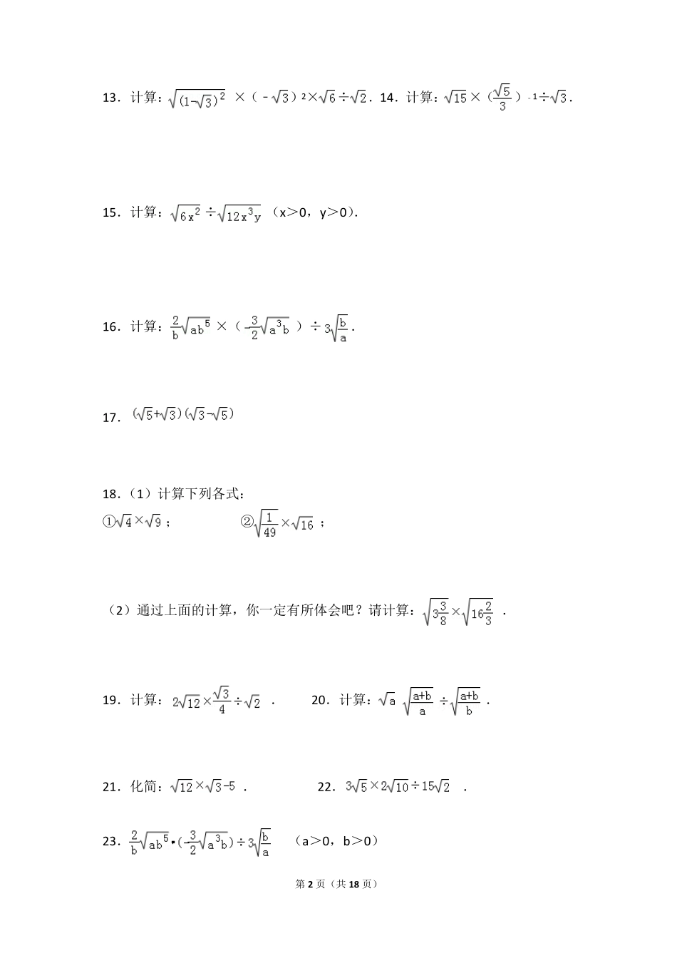
第1 页(共18 页) 二次根式计算及解析 一.解答题(共40 小题) 1.计算:÷×2÷2. 2.计算:()﹣|| 3.计算:×÷. 4.•(÷2). 5.. 6.. 7.计算:. 8.÷×3÷6. 9.计算:÷×. 10.计算:×(﹣)×. 11.计算: = . 12.12.化简:x2•() (x>0,y≥0). 第2 页(共18 页) 13.计算:×(﹣)2×÷.14.计算:×()﹣1÷. 15.计算:÷(x>0,y>0). 16.计算: ×()÷. 17. 18.(1)计算下列各式: ①; ②; (2)通过上面的计算,你一定有所体会吧?请计算:. 19.计算:. 20.计算:•. 21.化简:. 22.. 23.(a>0,b>0) 第3 页(共18 页) 24.已知x=,y=,求x2y+xy2 的值. 25.已知x1=,x2=,求下列代数式的值: (1)x12+x1﹣1; (2)x1+x2+x1x2+1. 26.已知a=,b=,求a2b+ab2 的值. 27.求a=2+ ,b=3时,代数式 a2+b2﹣4a+4 的值. 28.(1)计算﹣()2+()0﹣+|| (2)已知a=,求﹣的值. 29.计算题 第4 页(共18 页) (1) (2). 30.计算:×(+)﹣. 31.计算:()﹣2﹣|2﹣3|+ . 32.计算:(2﹣)0+|2﹣|+(﹣1)2017﹣×. 33.计算: 34.先化简,再求值,5x2﹣(3y2+5x2)+(4y2+7xy),其中 x=﹣1,y=1﹣. 35.计算:. 第5 页(共18 页) 36.计算: 37.计算:. 38.计算:(﹣2)2×﹣4(4﹣)+ 39.计算:+(2﹣)0﹣2﹣1+|| 40.计算:(﹣)﹣1×+(﹣2)2÷(﹣1)﹣3. 第6 页(共18 页) 计算大礼包-学而思期中考试特别订制版 参考答案与试题解析 一.解答题(共40 小题) 1.计算:÷×2÷2. 【分析】先把除法变成乘法,再根据二次根式的乘法法则进行计算即可. 【解答】解:原式=××2× =1. 【点评】本题考查了二次根式的乘除法法则,能灵活运用法则进行化简是解此题的关键. 2.计算:()﹣|| 【分析】直接利用二次根式乘法运算法则化简进而利用绝对值的性质化简,再合并求出答案. 【解答】解:原式=3﹣﹣(2﹣) =3﹣﹣2+ , =1. 【点评】此题主要考查了二次根式的乘法以及绝对值的性质,正确掌握运算法则是解题关键. 3.计算:×÷. 【分析】先进行二次根式的乘除法运算,再进行二次根式的化简即可. 【解答】解:原式=÷ =. 【点评】本题考查了二次根式的乘除法,解答本题的关键在于熟练掌握该知识点的运算法则和二次根式的化简...

1、当您付费下载文档后,您只拥有了使用权限,并不意味着购买了版权,文档只能用于自身使用,不得用于其他商业用途(如 [转卖]进行直接盈利或[编辑后售卖]进行间接盈利)。
2、本站所有内容均由合作方或网友上传,本站不对文档的完整性、权威性及其观点立场正确性做任何保证或承诺!文档内容仅供研究参考,付费前请自行鉴别。
3、如文档内容存在违规,或者侵犯商业秘密、侵犯著作权等,请点击“违规举报”。

碎片内容

典型二次根式计算及解析

您可能关注的文档

小辰6+ 关注
实名认证
内容提供者

出售各种资料和文档

相关文档

确认删除?
VIP
微信客服
  • 扫码咨询
会员Q群
  • 会员专属群点击这里加入QQ群
客服邮箱
回到顶部