电脑桌面
添加小米粒文库到电脑桌面
安装后可以在桌面快捷访问

初一有理数混合运算练习题及答案VIP免费

初一有理数混合运算练习题及答案_第1页
1/8
初一有理数混合运算练习题及答案_第2页
2/8
初一有理数混合运算练习题及答案_第3页
3/8
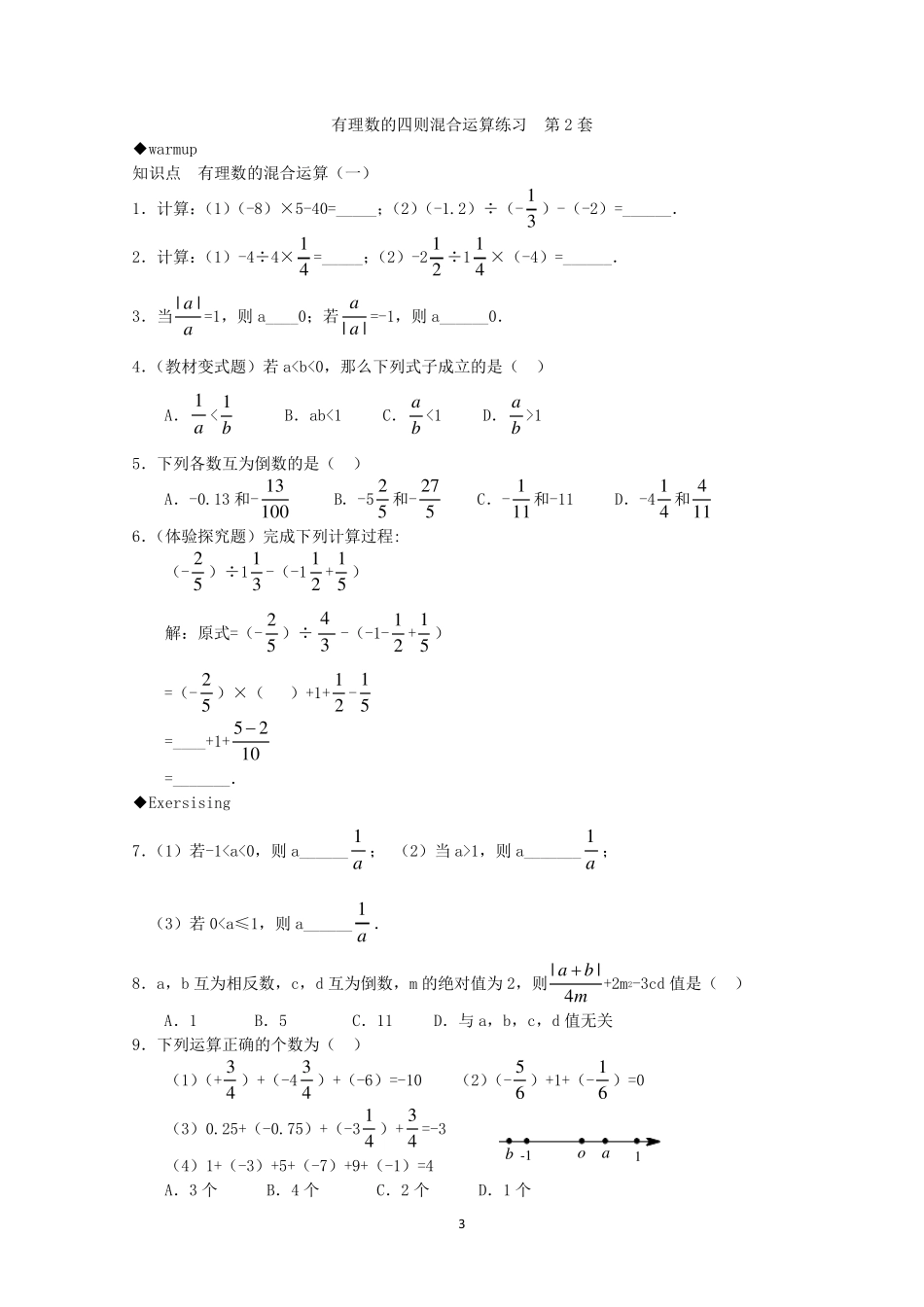
1 有理数混合运算练习题及答案 第1 套 同步练习(满分100 分) 1.计算题:(10′×5=50′) (1)3.28-4.76+1 21 - 43 ; (2)2.75-2 61 -3 43 +1 32 ; (3)42÷(-1 21 )-1 43 ÷(-0.125); (4)(-48) ÷82-(-25) ÷(-6)2; (5)- 52 +(1276185)×(-2.4). 2.计算题:(10′×5=50′) (1)-23÷1 53×(-1 31)2÷(1 32 )2; (2)-14-(2-0.5)× 31×[( 21 )2-( 21 )3]; (3)-1 21 ×[1-3×(- 32 )2]-( 41 )2×(-2)3÷(- 43 )3 (4)(0.12+0.32) ÷101 [-22+(-3)2-3 21 × 78 ]; (5)-6.24×32+31.2×(-2)3+(-0.51) ×624. 2 【素质优化训练】 1.填空题: (1)如是0,0cbba,那么ac 0;如果0,0cbba,那么ac 0; (2)若042ccba,则abc= ; -a2b2c2= ; (3)已知a,b 互为相反数,c,d 互为倒数,x 的绝对值等于2,那么x2-(a+b)+cdx= . 2.计算: (1)-32-;)3(18)52()5(223 (2){1+[3)43(41]×(-2)4}÷(-5.043101); (3)5-3×{-2+4×[-3×(-2)2-(-4) ÷(-1)3]-7}. 【生活实际运用】 甲用 1000 元人民币购买了一手股票,随即他将这手股票转卖给乙,获利 10%,而后乙又将这手股票反卖给甲,但乙损失了 10%.最后甲按乙卖给甲的价格的九折将这手股票卖给了乙,在上述股票交易中( ) A.甲刚好亏盈平衡; B.甲盈利 1 元; C.甲盈利 9 元; D.甲亏本 1.1 元. 3 有理数的四则混合运算练习 第2 套 ◆warmup 知识点 有理数的混合运算(一) 1.计算:(1)(-8)×5-40=_____;(2)(-1.2)÷(- 13 )-(-2)=______. 2.计算:(1)-4÷4× 14 =_____;(2)-2 12 ÷1 14 ×(-4)=______. 3.当 | |aa =1,则a____0;若 | |aa =-1,则a______0. 4.(教材变式题)若 a1 5.下列各数互为倒数的是( ) A.-0.13 和- 13100 B.-5 25 和- 275 C.- 111和-11 D.-4 14 和 411 6.(体验探究题)完成下列计算过程: (- 25 )÷1 13 -(-1 12 + 15 ) 解:原式=(- 25 )÷ 43 -(-1- 12 + 15 ) =(- 25 )×( )+1+ 12 - 15 =____+1+ 5210 =_______. ◆Exersising 7.(1)若-11,则a_...

1、当您付费下载文档后,您只拥有了使用权限,并不意味着购买了版权,文档只能用于自身使用,不得用于其他商业用途(如 [转卖]进行直接盈利或[编辑后售卖]进行间接盈利)。
2、本站所有内容均由合作方或网友上传,本站不对文档的完整性、权威性及其观点立场正确性做任何保证或承诺!文档内容仅供研究参考,付费前请自行鉴别。
3、如文档内容存在违规,或者侵犯商业秘密、侵犯著作权等,请点击“违规举报”。

碎片内容

初一有理数混合运算练习题及答案

小辰3+ 关注
实名认证
内容提供者

出售各种资料和文档

相关文档

确认删除?
VIP
微信客服
  • 扫码咨询
会员Q群
  • 会员专属群点击这里加入QQ群
客服邮箱
回到顶部