电脑桌面
添加小米粒文库到电脑桌面
安装后可以在桌面快捷访问

2025年零指数幂和负整数指数幂练习题VIP免费

2025年零指数幂和负整数指数幂练习题_第1页
1/8
2025年零指数幂和负整数指数幂练习题_第2页
2/8
2025年零指数幂和负整数指数幂练习题_第3页
3/8
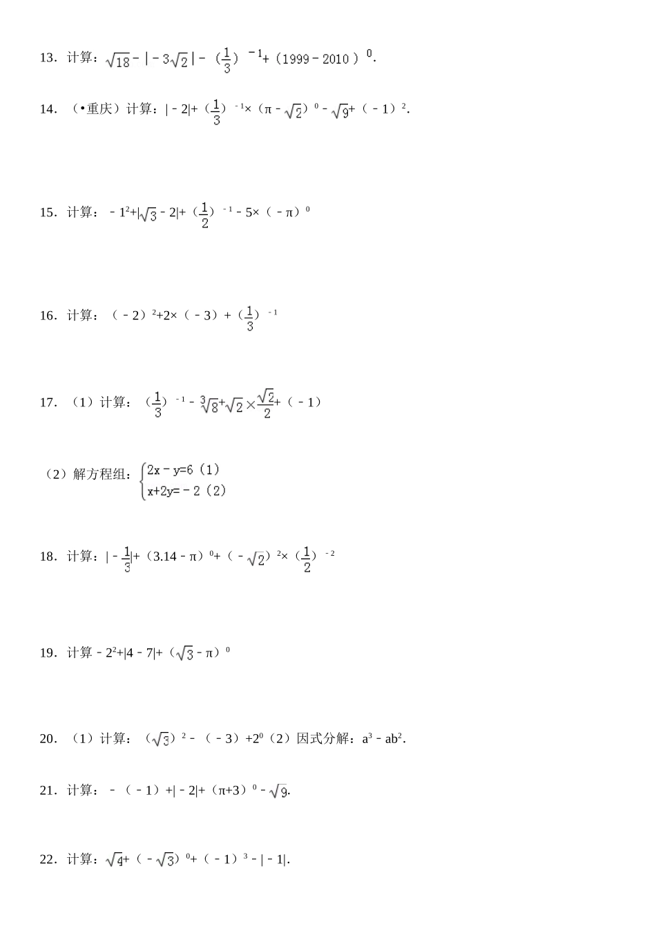
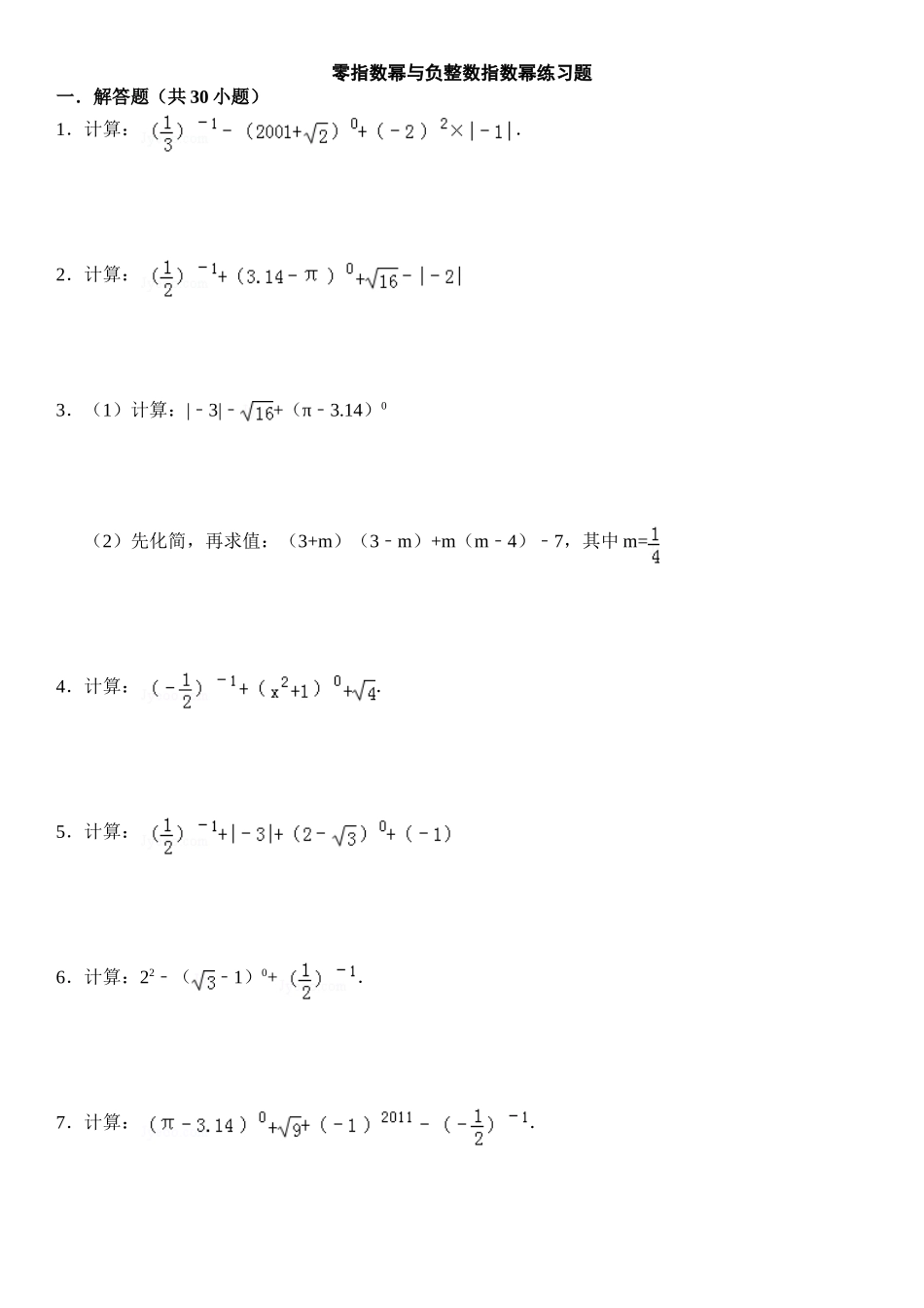
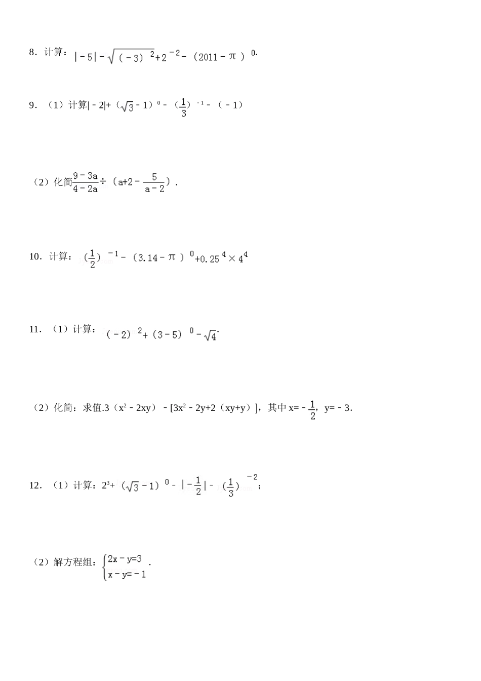
零指数幂与负整数指数幂练习题一.解答题(共 30 小题)1.计算:.2.计算:3.(1)计算:|3|﹣ ﹣+(π3.14﹣)0(2)先化简,再求值:(3+m)(3m﹣ )+m(m4﹣ )﹣7,其中 m= 4.计算:. 5.计算: 6.计算:22﹣(﹣1)0+. 7.计算:. 8.计算:. 9.(1)计算|2|+﹣(﹣1)0﹣( )﹣1﹣(﹣1)(2)化简. 10.计算: 11.(1)计算:.(2)化简:求值.3(x22xy﹣)﹣[3x22y+2﹣(xy+y)],其中 x=﹣ ,y=3﹣ . 12.(1)计算:23+﹣﹣;(2)解方程组:. 13.计算:. 14.(•重庆)计算:|2|+﹣( )﹣1×(π﹣)0﹣+(﹣1)2. 15.计算:﹣12+|2|+﹣( )﹣15×﹣(﹣π)0 16.计算:(﹣2)2+2×(﹣3)+( )﹣1 17.(1)计算:( )﹣1﹣++(﹣1)(2)解方程组: 18.计算:|﹣ |+(3.14π﹣ )0+(﹣)2×( )﹣2 19.计算﹣22+|47|+﹣(﹣π)0 20.(1)计算:()2﹣(﹣3)+20(2)因式分解:a3ab﹣2.21.计算:﹣(﹣1)+|2|+﹣(π+3)0﹣. 22.计算:+(﹣)0+(﹣1)3|1|﹣ ﹣ . 23.计算:. 24.计算:22+(47﹣ )÷ +()0 25.计算: 26.计算:|2|+﹣﹣( )﹣1+(3π﹣ )0 27.计算:﹣1+(﹣2)3+|3|﹣ ﹣ 28.计算:(﹣1)+|﹣|﹣(2﹣)03﹣. 29.计算:. 30.计算:零指数幂与负整数指数幂练习题及答案参考答案与试题解析 一.解答题(共 30 小题)1.计算:.解答:解:原式=31+4=6﹣.故答案为 6.2.计算:解答:解:,=2+1+42﹣ ,=5.故答案为:5.3.(1)计算:|3|﹣ ﹣+(π3.14﹣)0(2)先化简,再求值:(3+m)(3m﹣ )+m(m4﹣ )﹣7,其中 m=解答:解:(1)原式=34+1﹣=0;(2)原式=9m﹣2+m24m7﹣﹣=24m﹣,当 m= 时,原式=24×﹣=1.4.计算:.解答:解:原式=(﹣2)+1+2=1,故答案为 1.5.计算:.解答:解:原式=2+3+11﹣=5.6.计算:22﹣(﹣1)0+.解答:解:原式=41+2=5﹣.7.计算:.解答:解:=1+31﹣ ﹣(﹣2)=5.故答案为 5.8.计算:.解答:解:原式== .9.(1)计算|2|+﹣(﹣1)0﹣( )﹣1﹣(﹣1)(2)化简.解答:解:(1)|2|+﹣(﹣1)0﹣( )﹣1﹣(﹣1),=2+13+1﹣,=1;(2),=,=,=.10.计算:解答:解:原式=21+﹣(3 分)=21+1﹣(5 分)=2.(7 分)11.(1)计算:.(2)化简:求值.3(x22xy﹣)﹣[3x22y+2﹣(xy+y)],其中 x=﹣ ,y=3﹣ .解答...

1、当您付费下载文档后,您只拥有了使用权限,并不意味着购买了版权,文档只能用于自身使用,不得用于其他商业用途(如 [转卖]进行直接盈利或[编辑后售卖]进行间接盈利)。
2、本站所有内容均由合作方或网友上传,本站不对文档的完整性、权威性及其观点立场正确性做任何保证或承诺!文档内容仅供研究参考,付费前请自行鉴别。
3、如文档内容存在违规,或者侵犯商业秘密、侵犯著作权等,请点击“违规举报”。

碎片内容

2025年零指数幂和负整数指数幂练习题

您可能关注的文档

确认删除?
VIP
微信客服
  • 扫码咨询
会员Q群
  • 会员专属群点击这里加入QQ群
客服邮箱
回到顶部