电脑桌面
添加小米粒文库到电脑桌面
安装后可以在桌面快捷访问

大一高等数学(上)期中测试VIP免费

大一高等数学(上)期中测试_第1页
1/12
大一高等数学(上)期中测试_第2页
2/12
大一高等数学(上)期中测试_第3页
3/12
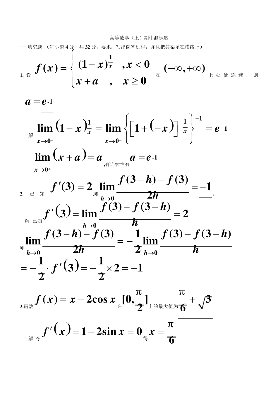
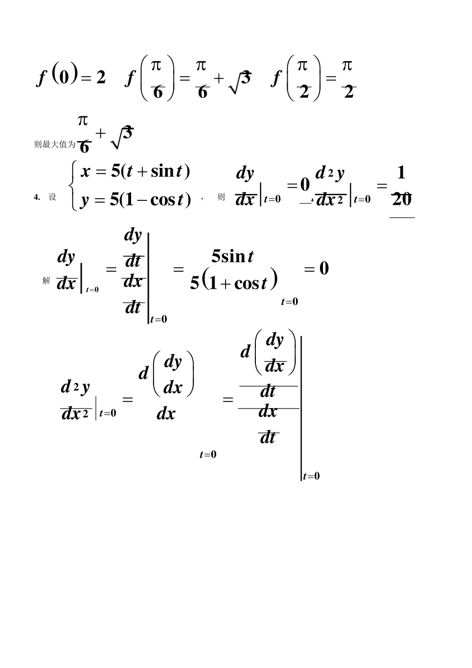
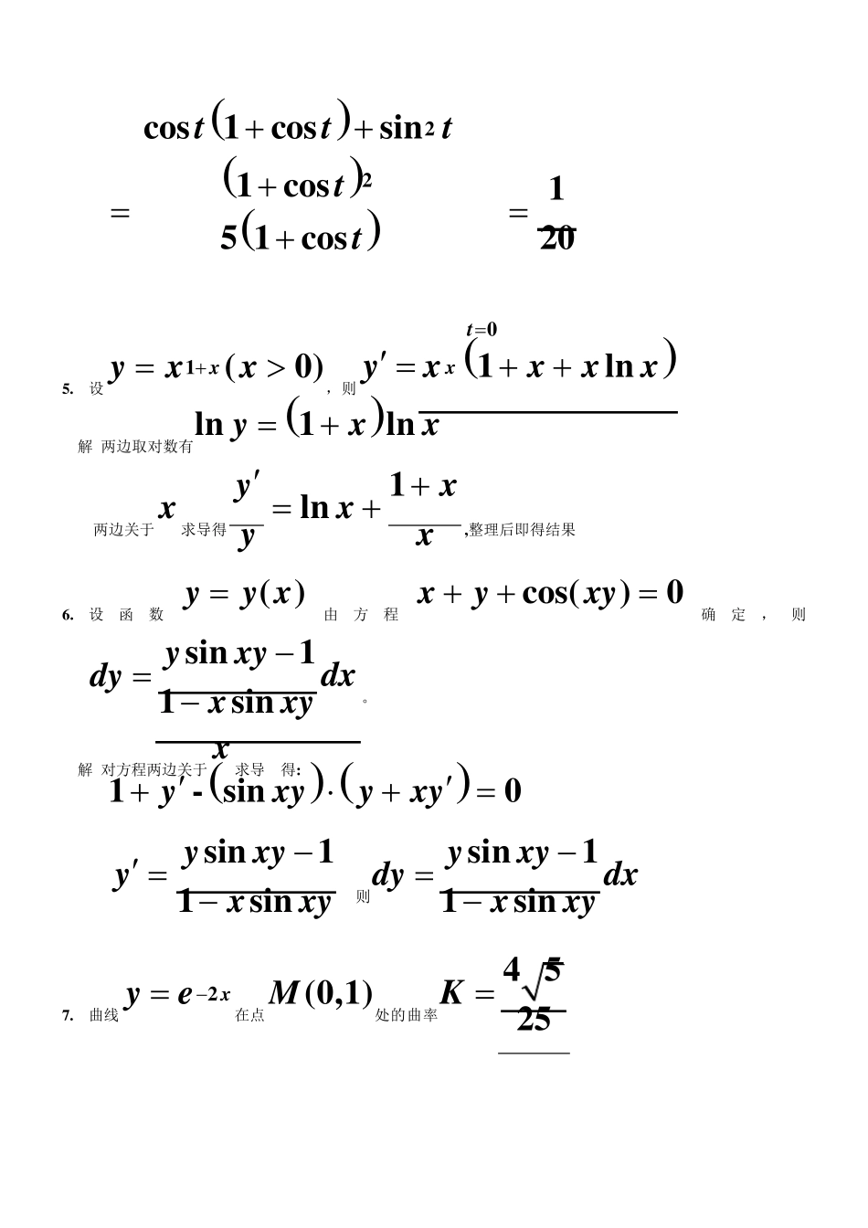
高等数学(上)期中测试题 一 填空题:(每小题4 分,共32 分,要求:写出简答过程,并且把答案填在横线上) 1. 设1(1),0( ),0xxxf xxax 在(,) 上处处连续,则a -1e。 解 111100lim 1lim1xxxxxxe  0limxxaa,有连续性有a -1e 2. 已 知 (3)2f ,则0(3)(3)lim2hfhfh 1。 解 已知 0(3)(3)3lim2hffhfh 则00(3)(3)1(3)(3)limlim22hhfhfffhhh   1132122f     3.函数( )2cosf xxx在[0,]2上的最大值为36  解 令 12sin0fxx得6x  0236622fff 则最大值为36  4. 设 5(sin )5(1cos )xttyt , 则 0tdydx  0,202td ydx  120 解 0005sin05 1costttdydytdtdxdxtdt 20200tttdyddydxdd ydxdtdxdxdxdt 220cos1cossin1cos15 1cos20tttttt 5. 设1(0)xyxx,则y 1lnxxxxx 解 两边取对数有ln1lnyxx 两边关于x求导得1lnyxxyx,整理后即得结果 6. 设函数( )yy x由方程cos()0xyxy确定,则dy sin11sinyxydxxxy。 解 对方程两边关于x求导 得:  1- sin0yxyyxy sin11sinyxyyxxy  则dy sin11sinyxydxxxy 7. 曲线2 xye在点(0,1)M处的曲率K  4 525 解 20022xxxye   20044xxxye 则 33222244 525112yky  8. 函数( )xf xxe在01x 处的二阶泰勒公式为( )f x  2333211126eeee xxx 解 由   nxfxnx e,代入泰勒公式即得 二.选择题:(每小题4 分,共32 分,每小题的四个选项中只有一个是正确的,要求写出简答过程,并且将答案对应的选项的字母填入题后括号里) 1.当0x 时,下列函数中为无穷小的函数是(D )。 A. lg sin x; B.1cos x ; C. 1sin x ; D. 12xe。 解0. limlg sinxAx  01. limcosxBx不存在 01. limsinxCx不存在 210. lim0...

1、当您付费下载文档后,您只拥有了使用权限,并不意味着购买了版权,文档只能用于自身使用,不得用于其他商业用途(如 [转卖]进行直接盈利或[编辑后售卖]进行间接盈利)。
2、本站所有内容均由合作方或网友上传,本站不对文档的完整性、权威性及其观点立场正确性做任何保证或承诺!文档内容仅供研究参考,付费前请自行鉴别。
3、如文档内容存在违规,或者侵犯商业秘密、侵犯著作权等,请点击“违规举报”。

碎片内容

大一高等数学(上)期中测试

确认删除?
VIP
微信客服
  • 扫码咨询
会员Q群
  • 会员专属群点击这里加入QQ群
客服邮箱
回到顶部