电脑桌面
添加小米粒文库到电脑桌面
安装后可以在桌面快捷访问

常用汽车动力转向器型号对照表VIP免费

常用汽车动力转向器型号对照表_第1页
1/6
常用汽车动力转向器型号对照表_第2页
2/6
常用汽车动力转向器型号对照表_第3页
3/6
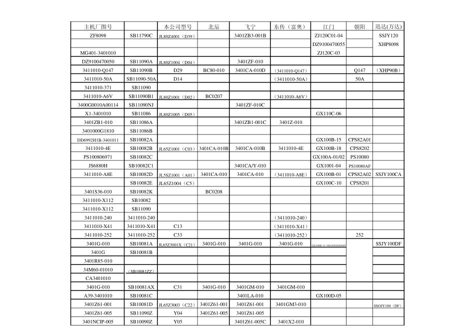
主机厂图号sb本公司型号北辰飞宁 东传(富奥)江门 朝阳迅达(万达)ZF8098SB11790CJL80Z4001(D39)3401ZB3-001BZJ120C01-04SSJY120DZ9100470055XHP8098MG401-3401010ZJ120C-03DZ9100470050SB11090AJL80Z1004(D04)3401ZF-0103411010-Q147SB11090BD29BC80-0103401CA-010D(3411010-Q147)Q147(XHP90B)3411010-50ASB11090-50AD14(3411010-50A)50A3411010-371SB110903411010-A6VSB11090B1JL80Z1001(D02)BC0207(3411010-A6V)3400G0010A00114SB11090NJ3401ZF-010CX1-3401010SB11086JL80Z1005(D05)GX110C-063401ZB1-010SB11086A3401ZB1-001C3401Z-0103401000G1810SB11086BDD6992H1B-3401011SB10082AGX100B-15CPS82A013411010-4ESB10082BJL65Z1001(C03)3401CA-010B3401CA-010B3411010-4EGX100B-18CPS8202PS100806971SB10082CGX100A-01/02PS10080JS6880HSB10082C13401CA/Y-010GX1001-04PS10080AF3411010-A8ESB10082DJL5SZ1001(A01)3401CA-0103401CA-010(3411010-A8E)GX100B-01CPS82A02SSJY100CASB10082EJL65Z1004(C5)GX100C-10CPS82013401S36-010SB10082KBC02083411010-X112SB100823411010-X112SB110903411010-2403411010-240(3411010-240)3411010-X413411010-X41C13(3411010-X41)3411010-2523411010-252C33(3411010-252)2523401G-010SB10081AJL65Z3001X(C21)3401G-0103401G-0103401G-010GX100D-31-3401/02/03/04/05SSJY100DF3401GSB10081B3401R85-01034M60-01010(SB10081ZZ)CA34010103401G-010SB10081AXC313401G-0103401GM-0103401GM-010A39-3401010SB10081C3401LA-010GX100D-053401Z61-001SB10081DJL65Z3003(C22)3401Z61-0013401Z61-0013401GM3-010SSOJY100(DF)3401Z61-005SB11090ZY043401Z61-0053401Z61-0053401NCIP-005SB10090ZY053401Z61-005C3401X2-0103401GB-010CSB10081F3401GB-010C3401GA-010SB10081YBC90083401GA-0103401GA-0103401Z61-005SB90Z3411010-C05SB9075AJL40Z1001(B01)BC90053401HQ-010C(3411010-C05)C05(XHP80W)3411010-A1NSB9075BJL40Z1005(B05)BC90043401HQ-010B(3411010-A1N)A1N(XHP80S7B )LX131-3401010SB9075B-1(LX131)B393401GN-010 SB9072ABC9007GX90C-13(XHP80S2)3401HP-010SB9072B3401HP/SY-0103401HP/SY-010ASSJY90SB9072SB9072C3401HP/SZ-010GX90C-023410TR-010SB9072DBC9006GX90C-163401XC-010SB9072EGX90C-12GX90Z/YSB9072F(90BZ/Y) JL40Z1015(B17)3401HP/Y-010B...

1、当您付费下载文档后,您只拥有了使用权限,并不意味着购买了版权,文档只能用于自身使用,不得用于其他商业用途(如 [转卖]进行直接盈利或[编辑后售卖]进行间接盈利)。
2、本站所有内容均由合作方或网友上传,本站不对文档的完整性、权威性及其观点立场正确性做任何保证或承诺!文档内容仅供研究参考,付费前请自行鉴别。
3、如文档内容存在违规,或者侵犯商业秘密、侵犯著作权等,请点击“违规举报”。

碎片内容

常用汽车动力转向器型号对照表

您可能关注的文档

确认删除?
VIP
微信客服
  • 扫码咨询
会员Q群
  • 会员专属群点击这里加入QQ群
客服邮箱
回到顶部