电脑桌面
添加小米粒文库到电脑桌面
安装后可以在桌面快捷访问

常见递推数列通项公式的求法典型例题及习题VIP免费

常见递推数列通项公式的求法典型例题及习题_第1页
1/9
常见递推数列通项公式的求法典型例题及习题_第2页
2/9
常见递推数列通项公式的求法典型例题及习题_第3页
3/9
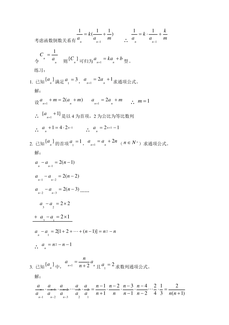
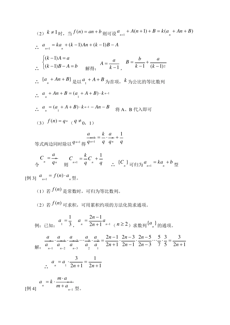
常见递推数列通项公式的求法典型例题及习题 【典型例题】 [例1] bkaann1型。 (1)1k时,}{1nnnabaa是等差数列,)(1banban (2)1k时,设)(1makmann ∴ mkmkaann1 比较系数:bmkm ∴ 1 kbm ∴ }1{ kban是等比数列,公比为k ,首项为11 kba ∴ 11)1(1nnkkbakba ∴ 1)1(11kbkkbaann [例2] )(1nfkaann型。 (1)1k时,)(1nfaann,若)(nf可求和,则可用累加消项的方法。 例:已知}{na满足11 a,)1(11nnaann求}{na的通项公式。 解: 111)1(11nnnnaann ∴ nnaann1111 112121nnaann 213132nnaann…… 312123 aa 21112 aa 对这(1n)个式子求和得:naan111 ∴ nan12  (2)1k时,当bannf)(则可设)()1(1BAnakBnAann ∴ ABkAnkkaann)1()1(1 ∴ bABkaAk)1()1( 解得:1 kaA,2)1(1kakbB ∴ }{BAnan是以BAa1为首项,k 为公比的等比数列 ∴ 11)(nnkBAaBAna ∴ BAnkBAaann11)( 将 A、B 代入即可 (3)nqnf)((q0,1) 等式两边同时除以1nq得qqaqkqannnn111 令nnnqaC  则qCqkCnn11 ∴ }{nC可归为bkaann1型 [例 3] nnanfa)(1型。 (1)若)(nf是常数时,可归为等比数列。 (2)若)(nf可求积,可用累积约项的方法化简求通项。 例:已知:311 a,11212nnanna(2n)求数列}{na的通项。 解:1235375325212321212122332211nnnnnnnaaaaaaaaaannnnnn ∴ 1211231nnaan [例 4] 11nnnamamka型。 考虑函数倒数关系有)11(11makann ∴ mkakann111 令nnaC1 则}{nC可归为bkaann1型。 练习: 1. 已知}{na满足31 a,121nnaa求通项公式。 解: 设)(21mamann maann21 ∴ 1m ∴ }1{1 na是以4 为首项,2 为公比为等比数列 ∴ 1241nna ∴ 121 nna 2. 已知}{na的首项11 a,naann21(*Nn)求通项公式。 解: )1(21naann )2(221naann )3(232...

1、当您付费下载文档后,您只拥有了使用权限,并不意味着购买了版权,文档只能用于自身使用,不得用于其他商业用途(如 [转卖]进行直接盈利或[编辑后售卖]进行间接盈利)。
2、本站所有内容均由合作方或网友上传,本站不对文档的完整性、权威性及其观点立场正确性做任何保证或承诺!文档内容仅供研究参考,付费前请自行鉴别。
3、如文档内容存在违规,或者侵犯商业秘密、侵犯著作权等,请点击“违规举报”。

碎片内容

常见递推数列通项公式的求法典型例题及习题

小辰7+ 关注
实名认证
内容提供者

出售各种资料和文档

确认删除?
VIP
微信客服
  • 扫码咨询
会员Q群
  • 会员专属群点击这里加入QQ群
客服邮箱
回到顶部