电脑桌面
添加小米粒文库到电脑桌面
安装后可以在桌面快捷访问

数学分析高等数学导数与微分习题有答案VIP免费

数学分析高等数学导数与微分习题有答案_第1页
1/12
数学分析高等数学导数与微分习题有答案_第2页
2/12
数学分析高等数学导数与微分习题有答案_第3页
3/12
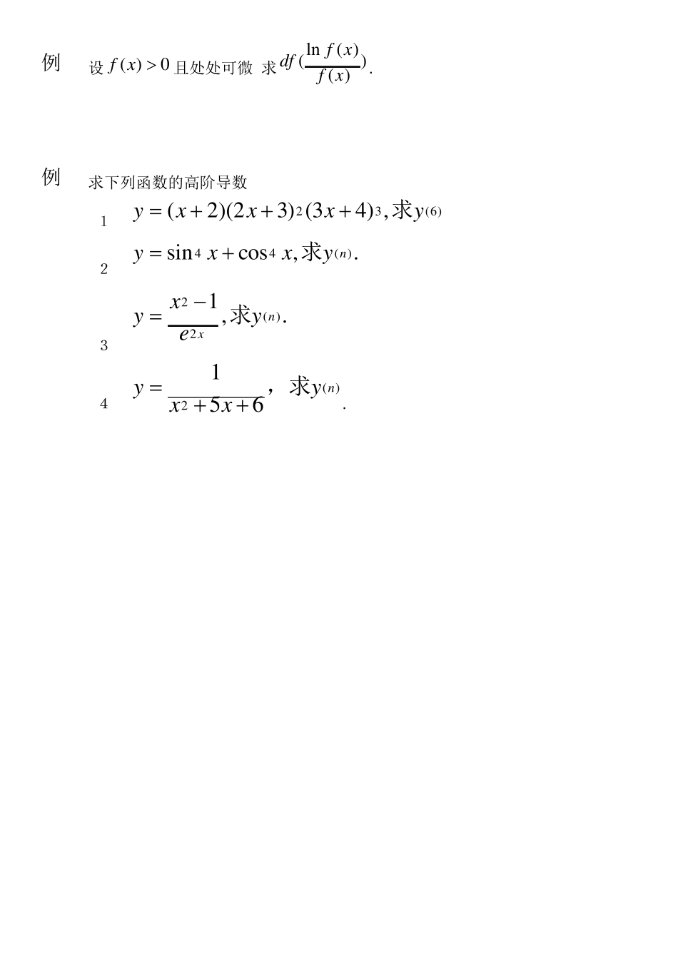
导数与微分 重点:倒数的定义,基本初等函数求导公式,各类求导法则,二阶导数,连续与可导的关系,导数与微分的关系,导数的几何意义 难点:导数的定义,复合函数求导,高阶导数 例题: 例1 试确定a、b 之值,使函数,0( )1ln(1),0xxaebexf xx xx在内可导,并求 例2 设 31s i n,0( )0,0xxf xxx  证明( )f x 在0x 处连续,可微,且导函数在0x 处连续,但'( )fx 在0x 处不可导 例3 设( )f u 在ut处可导,求01lim(0)rrrftftaraa为常数 例4 求下列函数的导数'y (1) 2(2 )(0)xxyxxx(2) 3arctan2yxx (3) 1ln1xyx 例5 设 ( )x和( )x是可导函数,求函数22( )( )yxx的导数. 例6 设( )yy x由方程22( )( )y f xx f yx确定,其中( )f x是 x 的可微函数,试求'y. 例7 已知22'( ),''( )0.' ( )( )xftd yftyt f tf tdx求 例8 设( )0f x 且处处可微,求ln( )()( )f xdff x. 例9 求下列函数的高阶导数 (1) 23(6)(2)(23) (34) ,yxxxy求 (2) 44( )sincos,.nyxxy求 (3) 2( )21,.nxxyye求 (4) ( )2156nyyxx ,求. 例10 设函数( )f x满足: (1) 对于任意实数12,xx,有1212()() ()f xxf xf x (2) ( )f x在0x 可导,且'(0 )1f. 证明: ( )f x可导且'( )( )fxf x 作业题:求平面曲线2yx与1 (0 )yxx的公切线方程. 答案: 例1 试确定a、b 之值,使函数 ,0( )1 ln(1),0xxaebexf xxxx  在内可导,并求 解: 欲使( )f x在内可导,只需( )f x在0x 处连续,可导,由 00lim( )lim()xxxxf xaebeab 00011lim( )limln(1)lim11xxxf xxxx 而( )f x在0x 处连续,得 1ab……………………(1) 00( )(0)' (0)limlimxxxxf xfaebeabfabxx 00(1)(1)limlimxxxxa eb exx 00limlimxxxxababxx 00ln(1)()( )(0)' (0)limlimxxxabf xfxfxx 20011ln(1)11limlim22xxxxxxx  由( )f x在0x 处可导,得 12ab ………………………(2) 联立(1)与(2)解得14a...

1、当您付费下载文档后,您只拥有了使用权限,并不意味着购买了版权,文档只能用于自身使用,不得用于其他商业用途(如 [转卖]进行直接盈利或[编辑后售卖]进行间接盈利)。
2、本站所有内容均由合作方或网友上传,本站不对文档的完整性、权威性及其观点立场正确性做任何保证或承诺!文档内容仅供研究参考,付费前请自行鉴别。
3、如文档内容存在违规,或者侵犯商业秘密、侵犯著作权等,请点击“违规举报”。

碎片内容

数学分析高等数学导数与微分习题有答案

确认删除?
VIP
微信客服
  • 扫码咨询
会员Q群
  • 会员专属群点击这里加入QQ群
客服邮箱
回到顶部