电脑桌面
添加小米粒文库到电脑桌面
安装后可以在桌面快捷访问

数列求和精选难题易错题含答案VIP免费

数列求和精选难题易错题含答案_第1页
1/4
数列求和精选难题易错题含答案_第2页
2/4
数列求和精选难题易错题含答案_第3页
3/4
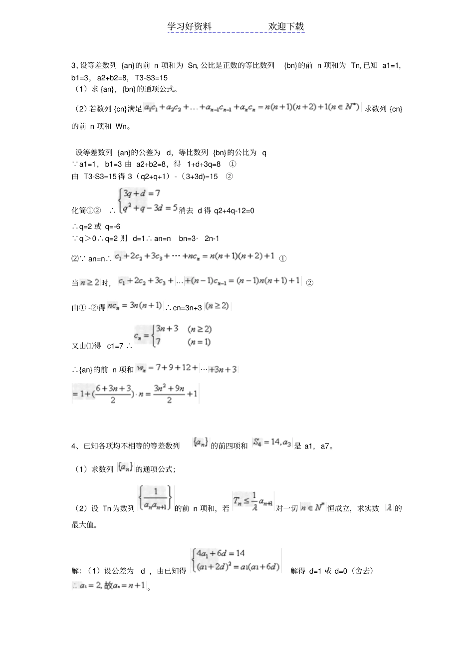
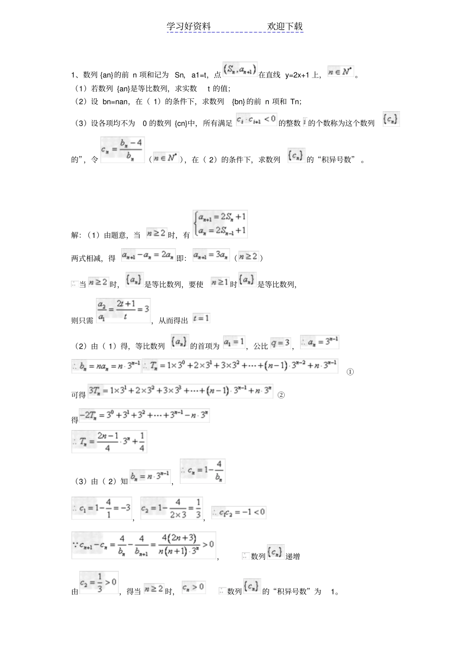
学习好资料欢迎下载1、数列 {an}的前 n 项和记为 Sn,a1=t,点在直线 y=2x+1 上,。(1)若数列 {an}是等比数列,求实数t 的值;(2)设 bn=nan,在( 1)的条件下,求数列{bn} 的前 n 项和 Tn;(3)设各项均不为0 的数列 {cn}中,所有满足的整数的个数称为这个数列的”,令(),在( 2)的条件下,求数列的“积异号数” 。解:(1)由题意,当时,有两式相减,得即:()当时,是等比数列,要使时是等比数列,则只需,从而得出(2)由( 1)得,等比数列的首项为,公比,①可得②得(3)由( 2)知,,,,数列递增由,得当时,数列的“积异号数”为1。学习好资料欢迎下载2、已知数列 {an}的前 n 项和为 Sn,满足.(Ⅰ)求数列 {an}的通项公式an;(Ⅱ)令,且数列 {bn}的前 n 项和为 Tn 满足,求 n 的最小值;(Ⅲ) 若正整数 m,r,k 成等差数列, 且,试探究: am,ar,ak 能否成等比数列?证明你的结论.解:(Ⅰ)∵,由,∴,又, ∴数列是以为首项,为公比的等比数列,∴,即;(Ⅱ),∴,∴,即 n 的最小值为5;(Ⅲ)∵,若,,成等比数列,即由已知条件得,∴,∴,∴上式可化为,∵,∴,∴,∴为奇数,为偶数,因此不可能成立,∴,,不可能成等比数列.学习好资料欢迎下载3、设等差数列 {an}的前 n 项和为 Sn,公比是正数的等比数列{bn}的前 n 项和为 Tn,已知 a1=1,b1=3,a2+b2=8,T3-S3=15 (1)求 {an},{bn} 的通项公式。(2)若数列 {cn}满足求数列 {cn}的前 n 项和 Wn。设等差数列 {an}的公差为 d,等比数列 {bn}的公比为 q ∵a1=1,b1=3 由 a2+b2=8,得 1+d+3q=8 ①由 T3-S3=15 得 3(q2+q+1)-(3+3d)=15 ②化简①②∴消去 d 得 q2+4q-12=0 ∴q=2 或 q=-6 ∵q>0∴q=2 则 d=1∴ an=n bn=3·2n-1 ⑵∵ an=n∴①当时,⋯②由① -②得∴cn=3n+3 又由⑴得 c1=7 ∴∴{an}的前 n 项和⋯4、已知各项均不相等的等差数列的前四项和是 a1,a7。(1)求数列的通项公式;(2)设 Tn 为数列的前 n 项和,若对一切恒成立,求实数的最大值。解:(1)设公差为d ,由已知得解得 d=1 或 d=0(舍去)。学习好资料欢迎下载(2),即又

1、当您付费下载文档后,您只拥有了使用权限,并不意味着购买了版权,文档只能用于自身使用,不得用于其他商业用途(如 [转卖]进行直接盈利或[编辑后售卖]进行间接盈利)。
2、本站所有内容均由合作方或网友上传,本站不对文档的完整性、权威性及其观点立场正确性做任何保证或承诺!文档内容仅供研究参考,付费前请自行鉴别。
3、如文档内容存在违规,或者侵犯商业秘密、侵犯著作权等,请点击“违规举报”。

碎片内容

数列求和精选难题易错题含答案

确认删除?
VIP
微信客服
  • 扫码咨询
会员Q群
  • 会员专属群点击这里加入QQ群
客服邮箱
回到顶部