电脑桌面
添加小米粒文库到电脑桌面
安装后可以在桌面快捷访问

激光原理第二章习题课VIP免费

激光原理第二章习题课_第1页
1/12
激光原理第二章习题课_第2页
2/12
激光原理第二章习题课_第3页
3/12
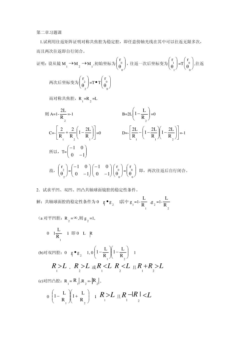
第二章习题课 1.试利用往返矩阵证明对称共焦腔为稳定腔,即任意傍轴光线在其中可以往返无限多次,而且两次往返即自行闭合。 证明:设从镜M1 M2 M1,初始坐标为00r,往返一次后坐标变为11r=T00r,往返两次后坐标变为22r=T T00r 而对称共焦腔,R1=R2 =L 则A=1-2RL2=-1 B=2L 2RL1=0 C=- 121RL21R2R2=0 D=-  211RL21RL21RL2=-1 所以,T=1001 故,22r=1001100100r=00r 即,两次往返后自行闭合。 2.试求平凹、双凹、凹凸共轴球面镜腔的稳定性条件。 解:共轴球面腔的稳定性条件为0

1、当您付费下载文档后,您只拥有了使用权限,并不意味着购买了版权,文档只能用于自身使用,不得用于其他商业用途(如 [转卖]进行直接盈利或[编辑后售卖]进行间接盈利)。
2、本站所有内容均由合作方或网友上传,本站不对文档的完整性、权威性及其观点立场正确性做任何保证或承诺!文档内容仅供研究参考,付费前请自行鉴别。
3、如文档内容存在违规,或者侵犯商业秘密、侵犯著作权等,请点击“违规举报”。

碎片内容

激光原理第二章习题课

小辰4+ 关注
实名认证
内容提供者

出售各种资料和文档

相关文档

确认删除?
微信客服
  • 扫码咨询
会员Q群
  • 会员专属群点击这里加入QQ群