电脑桌面
添加小米粒文库到电脑桌面
安装后可以在桌面快捷访问

热学第二版秦允豪第四章答案VIP免费

热学第二版秦允豪第四章答案_第1页
1/31
热学第二版秦允豪第四章答案_第2页
2/31
热学第二版秦允豪第四章答案_第3页
3/31
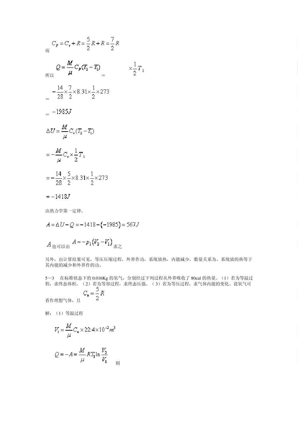
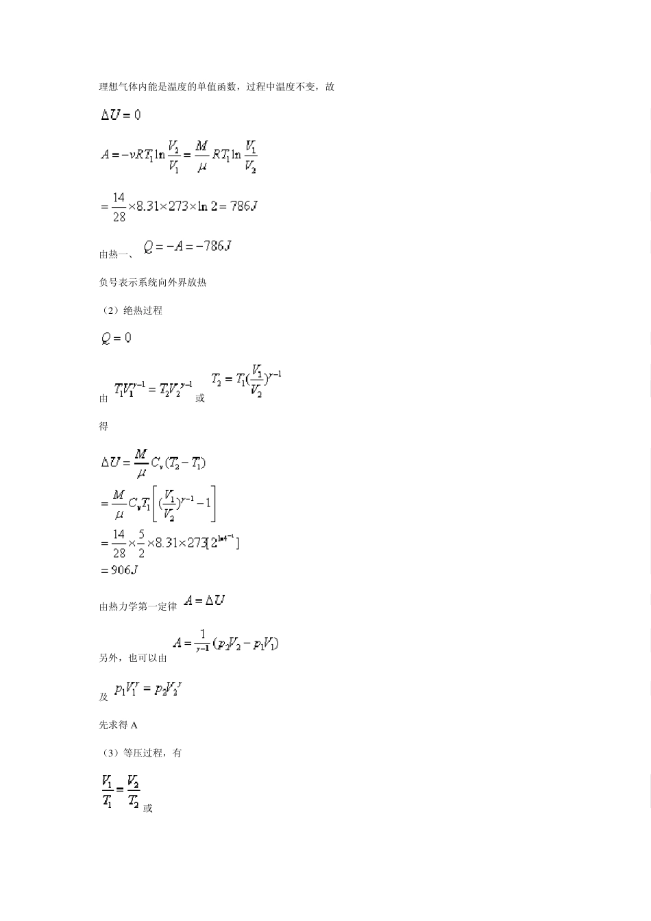
第四章 热力学第一定律(题号有所不同) 5- 1.0.020Kg 的氦气温度由 升为 ,若在升温过程中:( 1)体积保持不变;( 2)压强保持不变;(3)不与外界交换热量,试分别求出气体内能的改变,吸收的热量,外界对气体所作的功,设氦气可看作理想气体,且 , 解:理想气体内能是温度的单值函数,一过程中气体温度的改变相同,所以内能的改变也相同,为: 热量和功因过程而异,分别求之如下: ( 1)等容过程: V=常量 A= 0 由热力学第一定律, ( 2)等压过程: 由热力学第一定律, 负号表示气体对外作功, ( 3)绝热过程 Q= 0 由热力学第一定律 5- 2.分别通过下列过程把标准状态下的0.014Kg氮气压缩为原体积的一半;(1)等温过程;(2)绝热过程;(3)等压过程,试分别求出在这些过程中气体内能的改变,传递的热量和外界对气体所作的功,设氮气可看作理想气体,且 , 解:把上述三过程分别表示在P-V 图上, ( 1)等温过程 理想气体内能是温度的单值函数,过程中温度不变,故 由热一、 负号表示系统向外界放热 (2)绝热过程 由 或 得 由热力学第一定律 另外,也可以由 及 先求得 A (3)等压过程,有 或 而 所以 = = = 由热力学第一定律, 也可以由 求之 另外,由计算结果可见,等压压缩过程,外界作功,系统放热,内能减少,数量关系为,系统放的热等于其内能的减少和外界作的功。 5-3 在标准状态下的0.016Kg 的氧气,分别经过下列过程从外界吸收了 80cal的热量。(1)若为等温过程,求终态体积。(2)若为等容过程,求终态压强。( 3)若为等压过程,求气体内能的变化。设氧气可看作理想气体,且 解:(1)等温过程 则 故 (2 )等容过程 (3 )等压过程 5 -4 为确定多方过程方程 中的指数n ,通常取 为纵坐标, 为横坐标作图。试讨论在这种图中多方过程曲线的形状,并说明如何确定n 。 解: 将 两边取对数 或 比较 知在本题图中多方过程曲线的形状为一直线,如图所示。 直线的斜率为 可由直线的斜率求 n 。 或 即 n 可由两截距之比求出。 5 -5 室温下一定量理想气体氧的体积为 ,压强为 。经过一多方过程后体积变为 ,压强为 。试求:(1 )多方指数n ;(2 )内能的变化;(3 )吸收的热量;(4 )氧膨胀时对外界所作的功。设氧的 。 解:(1 ) 或 取对数得 (2 ) = 内能减少。 (3 ) (4 )由热力学第一定...

1、当您付费下载文档后,您只拥有了使用权限,并不意味着购买了版权,文档只能用于自身使用,不得用于其他商业用途(如 [转卖]进行直接盈利或[编辑后售卖]进行间接盈利)。
2、本站所有内容均由合作方或网友上传,本站不对文档的完整性、权威性及其观点立场正确性做任何保证或承诺!文档内容仅供研究参考,付费前请自行鉴别。
3、如文档内容存在违规,或者侵犯商业秘密、侵犯著作权等,请点击“违规举报”。

碎片内容

热学第二版秦允豪第四章答案

小辰7+ 关注
实名认证
内容提供者

出售各种资料和文档

确认删除?
VIP
微信客服
  • 扫码咨询
会员Q群
  • 会员专属群点击这里加入QQ群
客服邮箱
回到顶部