电脑桌面
添加小米粒文库到电脑桌面
安装后可以在桌面快捷访问

2015年成人学位英语模拟试题及答案xVIP免费

2015年成人学位英语模拟试题及答案x_第1页
1/20
2015年成人学位英语模拟试题及答案x_第2页
2/20
2015年成人学位英语模拟试题及答案x_第3页
3/20
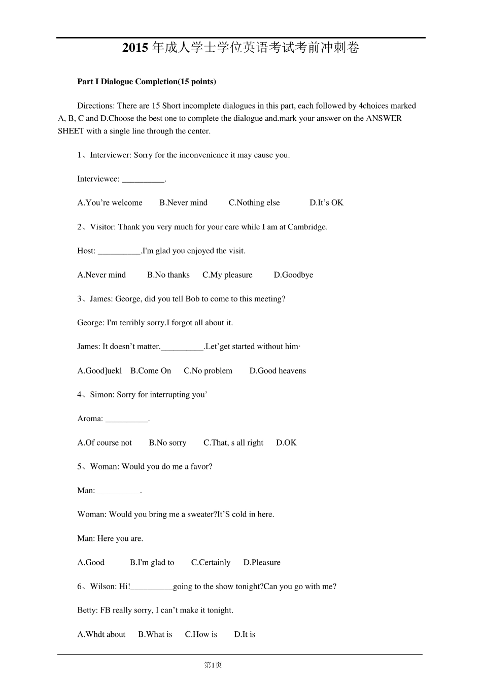
第1页 2015 年成人学士学位英语考试考前冲刺卷 Part I Dialogu e Completion(15 points) Directions: There are 15 Short incomplete dialogues in this part, each followed by 4choices marked A, B, C and D.Choose the best one to complete the dialogue and.mark your answer on the ANSWER SHEET with a single line through the center. 1、Interviewer: Sorry for the inconvenience it may cause you. Interviewee: __________. A.You’ re welcome B.Never mind C.Nothing else D.It’ s OK 2、Visitor: Thank you very much for your care while I am at Cambridge. Host: __________.I'm glad you enjoyed the visit. A.Never mind B.No thanks C.My pleasure D.Goodbye 3、James: George, did you tell Bob to come to this meeting? George: I'm terribly sorry.I forgot all about it. James: It doesn’ t matter.__________.Let’ get started without him· A.Good]uekl B.Come On C.No problem D.Good heavens 4、Simon: Sorry for interrupting you’ Aroma: __________. A.Of course not B.No sorry C.That, s all right D.OK 5、Woman: Would you do me a favor? Man: __________. Woman: Would you bring me a sweater?It’ S cold in here. Man: Here you are. A.Good B.I'm glad to C.Certainly D.Pleasure 6、Wilson: Hi!__________going to the show tonight?Can you go with me? Betty: FB really sorry, I can’ t make it tonight. A.Whdt about B.What is C.How is D.It is 第2页 7、Peter: Where shall I put the box? Li Mei: Could you please put it on the table? Peter: OK. Li Mei: That’s very kind of you.Thank you very much. Peter: __________. A.I'm glad B.I'm happy C.Never mind D.My pleasure 8、Receptionist: Good morning.This is Reception. Caller: Could you get me through to the manager?This is Mary calling from Sidney. Receptionist: Sorry, the manager is not in fight now. Call...

1、当您付费下载文档后,您只拥有了使用权限,并不意味着购买了版权,文档只能用于自身使用,不得用于其他商业用途(如 [转卖]进行直接盈利或[编辑后售卖]进行间接盈利)。
2、本站所有内容均由合作方或网友上传,本站不对文档的完整性、权威性及其观点立场正确性做任何保证或承诺!文档内容仅供研究参考,付费前请自行鉴别。
3、如文档内容存在违规,或者侵犯商业秘密、侵犯著作权等,请点击“违规举报”。

碎片内容

2015年成人学位英语模拟试题及答案x

您可能关注的文档

确认删除?
VIP
微信客服
  • 扫码咨询
会员Q群
  • 会员专属群点击这里加入QQ群
客服邮箱
回到顶部