电脑桌面
添加小米粒文库到电脑桌面
安装后可以在桌面快捷访问

极坐标和参数方程-一轮复习VIP免费

极坐标和参数方程-一轮复习_第1页
1/17
极坐标和参数方程-一轮复习_第2页
2/17
极坐标和参数方程-一轮复习_第3页
3/17
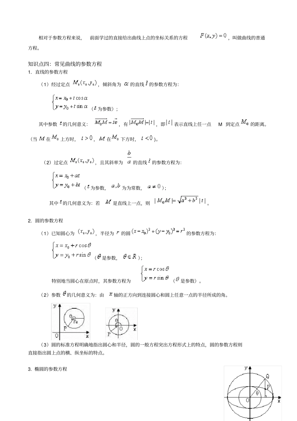
教学内容【知识结构】知识点一:极坐标1.极坐标系平面内的一条规定有单位长度的射线,为极点,为极轴,选定一个长度单位和角的正方向(通常取逆时针方向) ,这就构成了极坐标系。2.极坐标系内一点的极坐标平面上一点到极点的距离称为极径,与轴的夹角称为极角,有序实数对就叫做点的极坐标。3. 极坐标与直角坐标的互化当极坐标系与直角坐标系在特定条件下(①极点与原点重合;②极轴与轴正半轴重合;③长度单位相同),平面上一个点的极坐标和直角坐标有如下关系:直角坐标化极坐标:;极坐标化直角坐标:. 此即在两个坐标系下,同一个点的两种坐标间的互化关系. 知识点三:参数方程1. 概念:一般地,在平面直角坐标系中,如果曲线上任意一点的坐标都是某个变数的函数:,并且对于的每一个允许值,方程所确定的点都在这条曲线上,那么方程就叫做这条曲线的参数方程,联系间的关系的变数叫做参变数(简称参数). 相对于参数方程来说,前面学过的直接给出曲线上点的坐标关系的方程,叫做曲线的普通方程。知识点四:常见曲线的参数方程1.直线的参数方程(1)经过定点,倾斜角为的直线的参数方程为:(为参数);其中参数的几何意义:,有,即表示直线上任一点M 到定点的距离。(当在上方时,,在下方时,)。(2)过定点,且其斜率为的直线的参数方程为:(为参数,为为常数,);其中的几何意义为:若是直线上一点,则。2.圆的参数方程(1)已知圆心为,半径为的圆的参数方程为:(是参数,);特别地当圆心在原点时,其参数方程为(是参数)。(2)参数的几何意义为:由轴的正方向到连接圆心和圆上任意一点的半径所成的角。(3)圆的标准方程明确地指出圆心和半径,圆的一般方程突出方程形式上的特点,圆的参数方程则直接指出圆上点的横、纵坐标的特点。3. 椭圆的参数方程(1)椭圆()的参数方程(为参数)。(2)参数的几何意义是椭圆上某一点的离心角。如图中,点对应的角为(过作轴,交大圆即以为直径的圆于),切不可认为是。(3)从数的角度理解,椭圆的参数方程实际上是关于椭圆的一组三角代换。椭圆上任意一点可设成,为解决有关椭圆问题提供了一条新的途径。4. 双曲线的参数方程双曲线(,)的参数方程为(为参数)。5. 抛物线的参数方程抛物线()的参数方程为(是参数)。参数的几何意义为:抛物线上一点与其顶点连线的斜率的倒数,即。【例题精讲】类型一:极坐标方程与直角坐标方程例 1. 在极坐标系中,点关于极点的对称...

1、当您付费下载文档后,您只拥有了使用权限,并不意味着购买了版权,文档只能用于自身使用,不得用于其他商业用途(如 [转卖]进行直接盈利或[编辑后售卖]进行间接盈利)。
2、本站所有内容均由合作方或网友上传,本站不对文档的完整性、权威性及其观点立场正确性做任何保证或承诺!文档内容仅供研究参考,付费前请自行鉴别。
3、如文档内容存在违规,或者侵犯商业秘密、侵犯著作权等,请点击“违规举报”。

碎片内容

极坐标和参数方程-一轮复习

您可能关注的文档

文库响当当+ 关注
实名认证
内容提供者

该用户很懒,什么也没介绍

相关文档

确认删除?
VIP
微信客服
  • 扫码咨询
会员Q群
  • 会员专属群点击这里加入QQ群
客服邮箱
回到顶部