电脑桌面
添加小米粒文库到电脑桌面
安装后可以在桌面快捷访问

2019年全国初中数学竞赛试题及答案VIP免费

2019年全国初中数学竞赛试题及答案_第1页
1/7
2019年全国初中数学竞赛试题及答案_第2页
2/7
2019年全国初中数学竞赛试题及答案_第3页
3/7
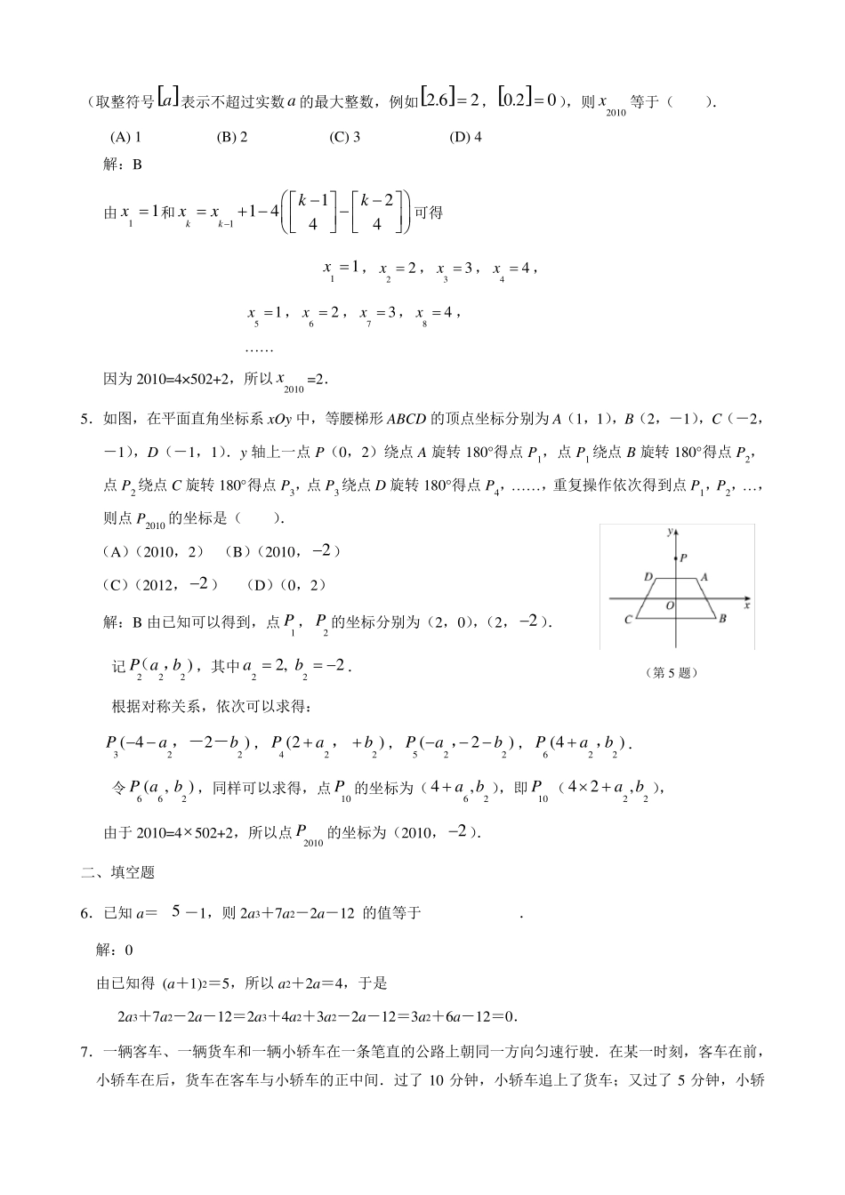
中国教育学会中学数学教学专业委员会 “《数学周报》杯”2019 年全国初中数学竞赛试题 一、选择题(共5 小题,每小题7 分,共3 5 分.其中有且只有一个选项是正确的. 请将正确选项的代号填入题后的括号里,不填、多填或错填都得0 分) 1.若20 10abbc,,则abbc的值为( ). (A)1121 (B)2111 (C)11021 (D)21011 解:D 由题设得120 121011111 10aabbcbcb. 2.若实数a,b 满足21202 aabb,则a 的取值范围是 ( ). (A)a≤ 2 (B)a≥ 4 (C)a≤ 2 或 a≥ 4 (D)2 ≤a≤4 解.C 因为b 是实数,所以关于b 的一元二次方程21202baba 的判别式 21()4 1 (2)2aa  =≥ 0,解得a≤ 2 或 a≥ 4. 3.如图,在四边形ABCD 中,∠B=135°,∠C=120°,AB=2 3 ,BC=42 2,CD=4 2 ,则AD 边的长为( ). (A)2 6 (B)64 (C)64  (D)622  解:D 如图,过点 A,D 分别作 AE,DF 垂直于直线 BC,垂足分别为E,F. 由已知可得 BE=AE=6 ,CF=2 2 ,DF=2 6 , 于是 EF=4+6 . 过点 A 作 AG⊥DF,垂足为G.在Rt△ADG 中,根据勾股定理得 AD222(46)( 6)(224)=22 6. 4.在一列数123xxx,,,… … 中,已知11 x,且当 k≥ 2 时,1121 444kkkkxx  (第 3 题) (第 3 题) (取整符号 a 表示不超过实数a 的最大整数,例如2.62,0.20),则2010x等于( ). (A) 1 (B) 2 (C) 3 (D) 4 解:B 由11 x和1121 444kkkkxx 可得 11x ,22x ,33x ,44x , 51x  ,62x ,73x ,84x , …… 因为2010=4×502+2,所以2010x=2. 5.如图,在平面直角坐标系xOy 中,等腰梯形ABCD 的顶点坐标分别为A(1,1),B(2,-1),C(-2,-1),D(-1,1).y 轴上一点P(0,2)绕点A 旋转180°得点P1,点P1 绕点B 旋转180°得点P2,点P2 绕点C 旋转180°得点P3,点P3 绕点D 旋转180°得点P4,……,重复操作依次得到点P1,P2,…, 则点P2010 的坐标是( ). (A)(2010,2) (B)(2010,2 ) (C)(2012,2 ) (D)(0,2) 解:B 由已知可以得到,...

1、当您付费下载文档后,您只拥有了使用权限,并不意味着购买了版权,文档只能用于自身使用,不得用于其他商业用途(如 [转卖]进行直接盈利或[编辑后售卖]进行间接盈利)。
2、本站所有内容均由合作方或网友上传,本站不对文档的完整性、权威性及其观点立场正确性做任何保证或承诺!文档内容仅供研究参考,付费前请自行鉴别。
3、如文档内容存在违规,或者侵犯商业秘密、侵犯著作权等,请点击“违规举报”。

碎片内容

2019年全国初中数学竞赛试题及答案

小辰+ 关注
实名认证
内容提供者

出售各种文档和资料

确认删除?
VIP
微信客服
  • 扫码咨询
会员Q群
  • 会员专属群点击这里加入QQ群
客服邮箱
回到顶部