电脑桌面
添加小米粒文库到电脑桌面
安装后可以在桌面快捷访问

MIDAS培训讲稿3_连续梁施工过程分析VIP免费

MIDAS培训讲稿3_连续梁施工过程分析_第1页
1/48
MIDAS培训讲稿3_连续梁施工过程分析_第2页
2/48
MIDAS培训讲稿3_连续梁施工过程分析_第3页
3/48
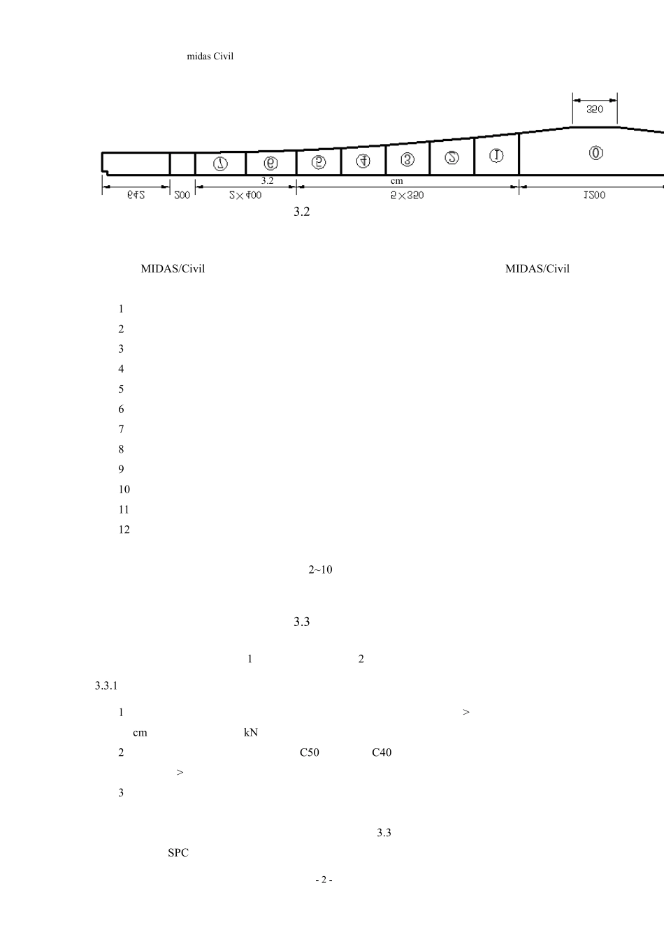
midas Civil 培训资料——石家庄铁道大学土木工程学院仿真实验室- 1 -第 3 部分 悬灌连续梁桥施工过程分析对超静定的桥梁其施工方法、顺序以及过程往往决定其成桥的内力,而我国桥梁规范中配筋是按内力进行的,所以桥梁的施工阶段分析是极其重要的。预应力混凝土连续梁的施工过程中会发生体系转换,施工过程中临时墩、临时拉索等临时结构的设置与拆除、上部结构和桥墩的支承条件的变化对结构的内力和位移会产生非常大的影响。另外施工过程中随着混凝土材料的材龄发生变化构件的弹性模量和强度也会发生变化。混凝土徐变、收缩,预应力钢束的松弛等都会引起结构内力的重分配并对位移产生影响。桥梁的最不利应力有可能发生在施工过程中,所以除了对桥梁的成桥阶段进行验算外,对桥梁的施工过程也应进行承载力验算。3.1 实例简介这里以一座三跨连续梁的悬臂浇筑施工过程分析来说明使用“一般方法”的步骤。某跨度为 40m+65m+40m 公路预应力钢筋混凝土箱型连续梁桥,桥梁顶板宽 16.74m,底板宽 8.24m,采用单箱单室截面,按 1.8 次抛物线梁高自跨中 1.8m 过渡至墩顶 3.8m。桥面单向横坡 1.5%。混凝土标号为 C55,钢束为低松弛钢绞线,其标准抗拉强度为 1860MPa,锚下控制张拉应力 0.72×1860Mpa=1339.2MPa。跨中及墩顶标准截面如图 3.1 所示,桥梁的分段情况如图 3.2 所示。施工大致顺序为:下部结构→安装墩旁施工支架,安装主墩处永久支座、临时固结措施→在支架上现浇 0 号块→张拉 0 号块预应力→在 0 号块上拼装挂篮→浇筑 1 号块→张拉 1 号块预应力→移动挂篮……浇筑 7 号块,同时搭设并预压边跨现浇支架→张拉 7 号块预应力→拆除边跨现浇支架上的压重,浇筑边跨段混凝土,拆除所有挂篮 →搭建边跨合龙吊架,同时加用水箱做的压重,中跨合龙段同步施加相应的压重 →安装合龙段劲性骨架→浇筑边跨合龙段混凝土,同时卸载边跨相当于混凝土重量的压重 →张拉边跨合龙钢束→拆除边跨现浇支架及边跨吊架,卸掉中跨合龙段的部分压重,每侧留下相当于中跨合龙段重量一半的压重→拆除墩顶临时固结措施→安装中跨合龙段吊架,安装中跨合龙段劲性骨架→浇筑中跨合龙段混凝土,同时卸载压重→张拉剩余预应力→拆除中跨合龙段吊架→施工桥面及其它附属设施。图 3.1 桥梁典型截面(单位:cm)midas Civil 培训资料——石家庄铁道大学土木工程学院仿真实验室- 2 -图 3.2 桥梁节段的划分(单位:cm)3.2 ...

1、当您付费下载文档后,您只拥有了使用权限,并不意味着购买了版权,文档只能用于自身使用,不得用于其他商业用途(如 [转卖]进行直接盈利或[编辑后售卖]进行间接盈利)。
2、本站所有内容均由合作方或网友上传,本站不对文档的完整性、权威性及其观点立场正确性做任何保证或承诺!文档内容仅供研究参考,付费前请自行鉴别。
3、如文档内容存在违规,或者侵犯商业秘密、侵犯著作权等,请点击“违规举报”。

碎片内容

MIDAS培训讲稿3_连续梁施工过程分析

确认删除?
VIP
微信客服
  • 扫码咨询
会员Q群
  • 会员专属群点击这里加入QQ群
客服邮箱
回到顶部