电脑桌面
添加小米粒文库到电脑桌面
安装后可以在桌面快捷访问

求数列通项公式6种方法

求数列通项公式6种方法_第1页
1/7
求数列通项公式6种方法_第2页
2/7
求数列通项公式6种方法_第3页
3/7
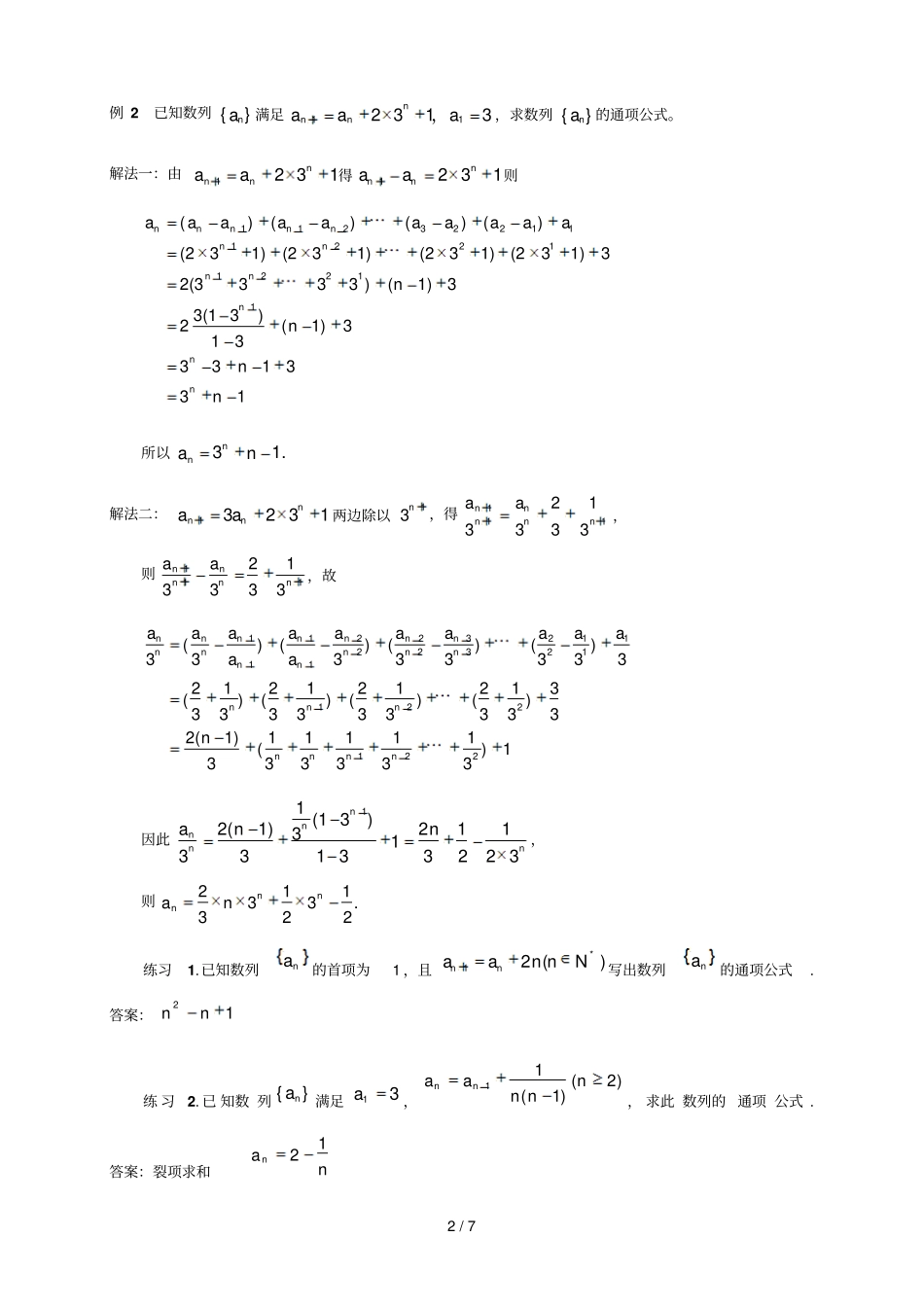
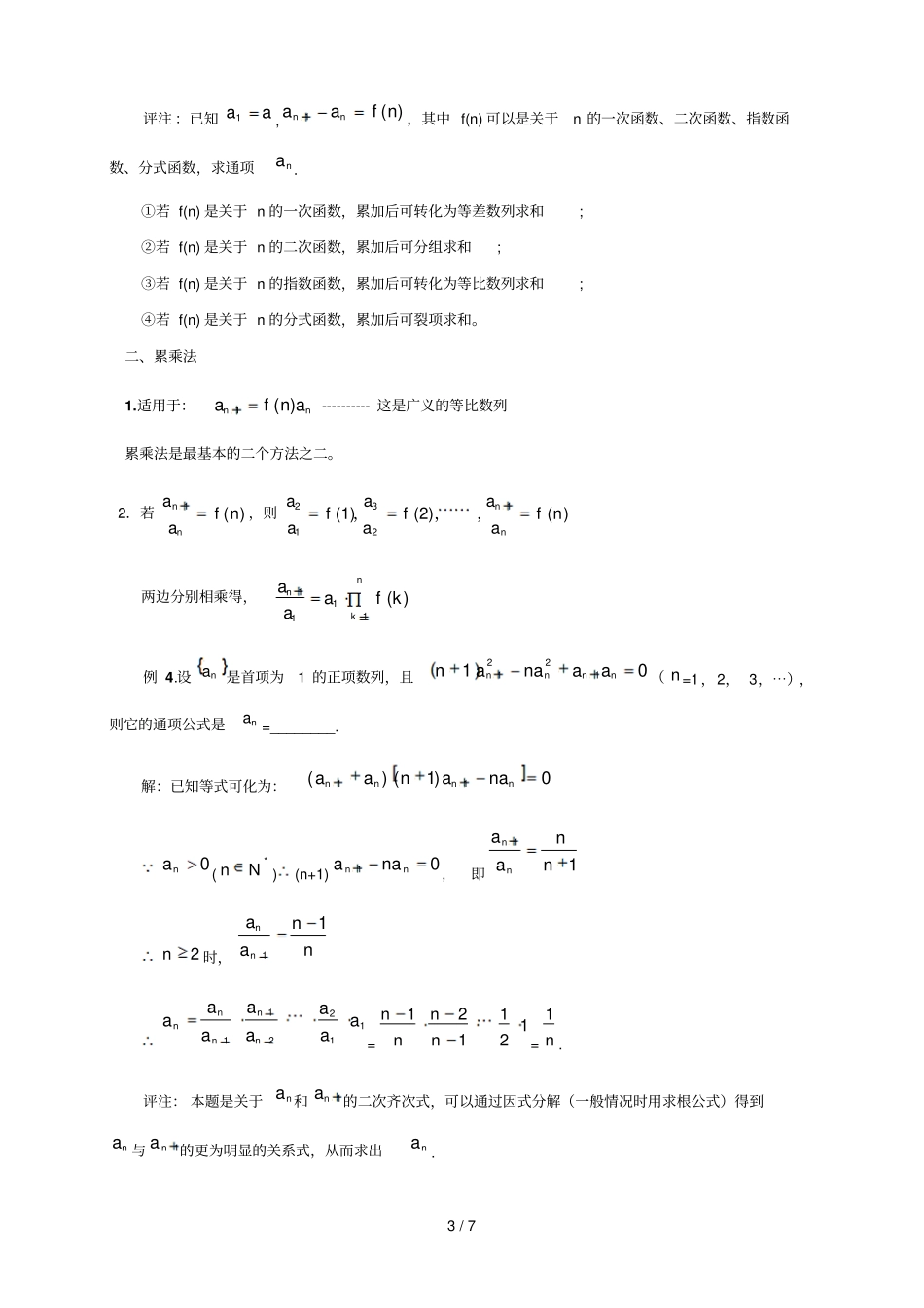
1 / 7 求数列通项公式的十一种方法(方法全,例子全,归纳细)总述:一.利用递推关系式求数列通项的7 种方法:累加法、累乘法、待定系数法、倒数变换法、由和求通项定义法(根据各班情况适当讲)二。基本数列:等差数列、等比数列。等差数列、等比数列的求通项公式的方法是:累加和累乘,这二种方法是求数列通项公式的最基本方法。三 .求数列通项的方法的基本思路是:把所求数列通过变形,代换转化为等差数列或等比数列。四.求数列通项的基本方法是:累加法和累乘法。五.数列的本质是一个函数,其定义域是自然数集的一个函数。一、累加法1.适用于:1( )nnaaf n---------- 这是广义的等差数列累加法是最基本的二个方法之一。例 1 已知数列 {}na满足11211nnaana,,求数列 {}na的通项公式。解:由121nnaan得121nnaan则112322112()()()()[2(1) 1][2(2)1](221)(2 1 1) 12[(1)(2)21](1) 1(1)2(1) 12(1)(1) 1nnnnnaaaaaaaaaannnnnnnnnnn所以数列 {}na的通项公式为2nan 。2 / 7 例 2 已知数列 {}na满足112 313nnnaaa,,求数列 {}na的通项公式。解法一:由12 31nnnaa得12 31nnnaa则11232211122112211()()()()(231)(231)(231)(231)32(3333 )(1)33(1 3)2(1)313331331nnnnnnnnnnnnaaaaaaaaaannnn所以31.nnan解法二:132 31nnnaa两边除以13n,得111213333nnnnnaa,则111213333nnnnnaa,故112232112232111122122()()()()33333333212121213()()()()3333333332(1)11111()1333333nnnnnnnnnnnnnnnnnnnnnaaaaaaaaaaaan因此11 (1 3)2(1)21131331 3322 3nnnnnann,则21133.322nnnan练习1.已知数列na的首项为1 ,且*12 ()nnaan nN写出数列na的通项公式. 答案:12nn练 习2. 已 知数 列}{na满足31a,)2()1(11nnnaann, 求此 数列的 通项 公式 . 答案:裂项求和na n123 / 7 评注 :已知aa1,)(1nfaann,其中 f(n) 可以是关于n 的一次函数、二次函数、指数函数、分式函数,求通项na . ①若 f(n) 是关于 n 的一次函数,累加后可转化为等差数列求和; ②若 f(n) 是关于 n 的二次函数,累加后可分组求和; ③若 f(n) 是关于 n 的指数函数,累加后可转化为等比数列求和; ④若 f(n) 是关于 n 的分式函数,累加后可裂项求和。二、累乘法1.适用于:1( )nnaf n a---------- 这是广义的等比数列累乘法是最基本的二个方法之二。2.若1( )nnaf na,则31212(1)(2)( )nnaaafff naaa,,,两...

1、当您付费下载文档后,您只拥有了使用权限,并不意味着购买了版权,文档只能用于自身使用,不得用于其他商业用途(如 [转卖]进行直接盈利或[编辑后售卖]进行间接盈利)。
2、本站所有内容均由合作方或网友上传,本站不对文档的完整性、权威性及其观点立场正确性做任何保证或承诺!文档内容仅供研究参考,付费前请自行鉴别。
3、如文档内容存在违规,或者侵犯商业秘密、侵犯著作权等,请点击“违规举报”。

碎片内容

求数列通项公式6种方法

爱的疯狂+ 关注
实名认证
内容提供者

该用户很懒,什么也没介绍

相关文档

确认删除?
VIP
微信客服
  • 扫码咨询
会员Q群
  • 会员专属群点击这里加入QQ群
客服邮箱
回到顶部