电脑桌面
添加小米粒文库到电脑桌面
安装后可以在桌面快捷访问

交通标志结构设计计算书

交通标志结构设计计算书_第1页
1/13
交通标志结构设计计算书_第2页
2/13
交通标志结构设计计算书_第3页
3/13
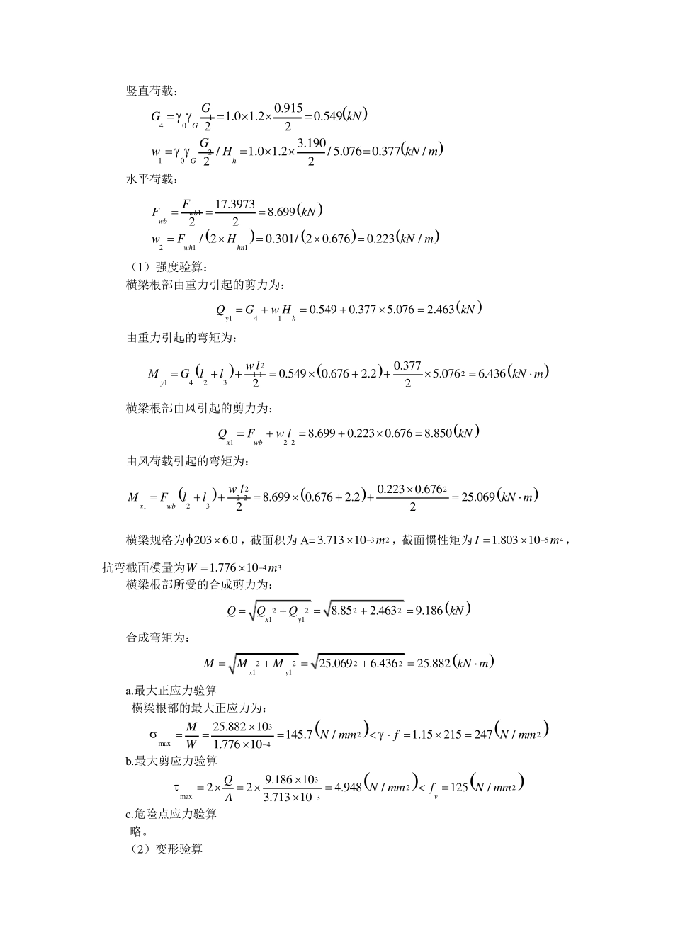
悬臂式标志的结构设计计书 1.计算简图如下图所示 2.荷载计算 (1 ) 永久荷载 各计算式中系数1.1 系考虑有关连接件及加劲肋等的重力而添加的。 标志板单位面积质量为 8.037kg/m 2,其重力为: G1=4.42.48.0379.81.1=0.9149(kN) 横梁拟采用0.62032钢管,单位面积质量为 29.15kg/m 2,其总重力为: G2=229.155.0769.81.1=3.1901(kN) 立柱拟采用0.9377 钢管,单位面积质量为 81.68kg/m 2,其总重为: G3=81.687.99.81.1=6.956(kN) 标志上部结构的总重力为: G=G1+G2+G3=0.9149+3.1901+6.956=11.061(kN) 有关系数将视永久荷载效应对结构构件或连接的承重能力是否有利而选取。 (2)风荷载 标志板: 211101()() /100021.0 1.4 [(0.5 1.2258 1.240 ^ 2)(4.42.4)] /100017.397()w bQbhFCVWWKN  横梁: 2101()() /1000211.0 1.4(1.22580.840 ^ 2)(0.6760.2032) /100020.301()QWHBhniFCVWHKN  立柱: 21101[()() /100021.0 1.4 [(0.5 1.22580.840 ^ 2)(7.90.377)] /10003.271()WPQpPFCVWHKN  3.横梁的设计计算 由于两根横梁材料,规格相同,根据基本假设,可认为每根横梁所受的荷载为总荷载之半,其受力如图6.2。 图6.2 横梁受力图(尺寸单位:m m ) 单根横梁所承受荷载为: 竖直荷载: 1402100.9151.0 1.20.549223.190/1.0 1.2/ 5.076 0.377/22GGhGGkNGwHkN m   水平荷载: 121117.39738.69922/ 20.301/ 20.6760.223/wbwbwhhnFFkNwFHkNm (1)强度验算: 横梁根部由重力引起的剪力为: 1410.5490.3775.0762.463yhQGw HkN 由重力引起的弯矩为: 221 114230.3770.5490.6762.25.0766.43622yw lMGllkN m 横梁根部由风引起的剪力为: 12 28.6990.223 0.6768.850xwbQFw lkN 由风荷载引起的弯矩为: 222 21230.223 0.6768.6990.6762.225.06922xwbw lMFllkN m 横梁规格为2036.0,截面积为A=323.713 10m,截面惯性矩为541.803 10Im,抗弯截面模量为431.776 10Wm 横梁根部所受的合成剪力为: 2222118.852.4639.186xyQQQkN...

1、当您付费下载文档后,您只拥有了使用权限,并不意味着购买了版权,文档只能用于自身使用,不得用于其他商业用途(如 [转卖]进行直接盈利或[编辑后售卖]进行间接盈利)。
2、本站所有内容均由合作方或网友上传,本站不对文档的完整性、权威性及其观点立场正确性做任何保证或承诺!文档内容仅供研究参考,付费前请自行鉴别。
3、如文档内容存在违规,或者侵犯商业秘密、侵犯著作权等,请点击“违规举报”。

碎片内容

交通标志结构设计计算书

小辰9+ 关注
实名认证
内容提供者

出售各种资料和文档

确认删除?
VIP
微信客服
  • 扫码咨询
会员Q群
  • 会员专属群点击这里加入QQ群
客服邮箱
回到顶部