电脑桌面
添加小米粒文库到电脑桌面
安装后可以在桌面快捷访问

人教版高一数学必修一至必修四公式

人教版高一数学必修一至必修四公式_第1页
1/11
人教版高一数学必修一至必修四公式_第2页
2/11
人教版高一数学必修一至必修四公式_第3页
3/11
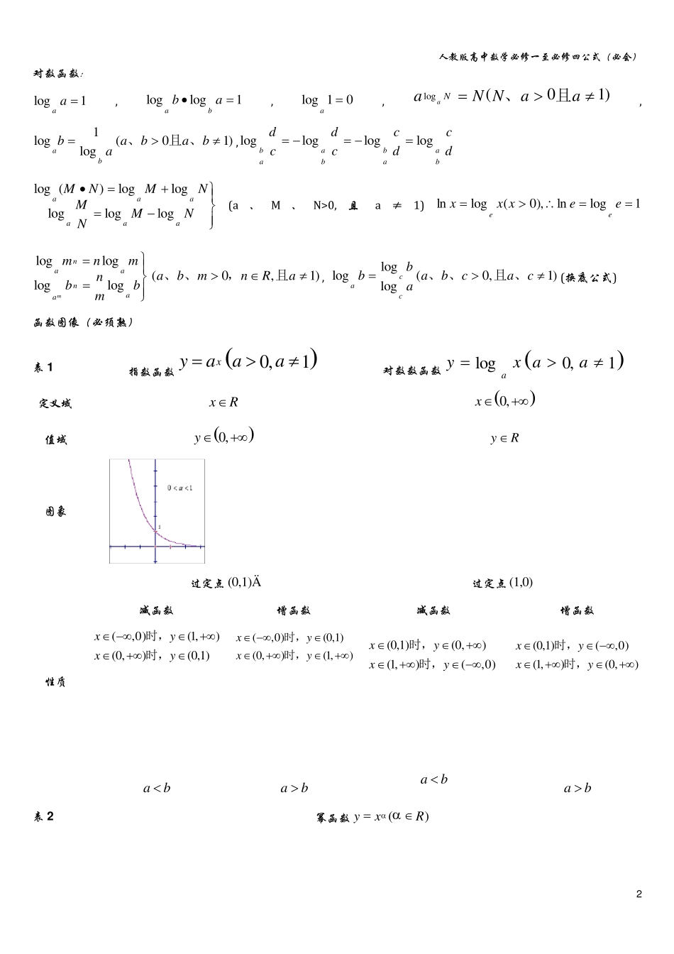
人 教 版 高 中 数 学 必 修 一 至 必 修 四 公 式 ( 必 会 ) 1 初 高 中 衔 接 : 和平方:))((22bababa 和、差平方: 2222)(bababa 立方和、立方差:))((2233babababa 和、差立方:2233333)(abbababa acbcabcbacba222)(2222;acbcabcbacba222)(2222 acbcabcbacba222)(2222;acbcabcbacba222)(2222 韦达定理:设acxxabxxcbxxx21212210ax的两根,那么为和 必 修 一 : 123412nxAxBABABAnA ()元素与集合的关系:属于()和不属于()()集合中元素的特性:确定性、互异性、无序性集合与元素()集合的分类:按集合中元素的个数多少分为:有限集、无限集、空集()集合的表示方法:列举法、描述法(自然语言描述、特征性质描述)、图示法、区间法子集:若 ,则,即是的子集。、若集合中有个元素,则集合的子集有个, 注关系集合集合与集合00(2 -1)23, , ,,.4/nAAA B CABBCACABABxBxAABABABABABx xAxBAAAAABBAAB  真子集有个。、任何一个集合是它本身的子集,即 、对于集合如果,且那么、空集是任何集合的(真)子集。真子集:若且(即至少存在但),则是的真子集。集合相等:且 定义:且交集性质: ,,,运算,/()( )( )-()/()()()()()()UUUUUUUUA ABBABABAABx xAxBAAAAAABBAABAABBABABBCard ABCard ACard BCard ABC Ax xUxAAC AAC AAUCC AACABC AC B  ,定义:或并集性质: ,,,,, 定义:且补集性质:,,,, ()()()UUUCABC AC B 恒 成 立 问 题 : 00)0(0ax;00)0(0ax22且△上成立的条件为在且△上恒成立的条件在aRacbxaRacbx 指 数 函 数 : 00naaaaaanaannnn,,为偶数时:;当为奇数时:当;mnmnmnmnaaaa1)10...

1、当您付费下载文档后,您只拥有了使用权限,并不意味着购买了版权,文档只能用于自身使用,不得用于其他商业用途(如 [转卖]进行直接盈利或[编辑后售卖]进行间接盈利)。
2、本站所有内容均由合作方或网友上传,本站不对文档的完整性、权威性及其观点立场正确性做任何保证或承诺!文档内容仅供研究参考,付费前请自行鉴别。
3、如文档内容存在违规,或者侵犯商业秘密、侵犯著作权等,请点击“违规举报”。

碎片内容

人教版高一数学必修一至必修四公式

小辰+ 关注
实名认证
内容提供者

出售各种文档和资料

相关文档

确认删除?
VIP
微信客服
  • 扫码咨询
会员Q群
  • 会员专属群点击这里加入QQ群
客服邮箱
回到顶部