电脑桌面
添加小米粒文库到电脑桌面
安装后可以在桌面快捷访问

湖北大学量子力学考研参考试题及解

湖北大学量子力学考研参考试题及解_第1页
1/10
湖北大学量子力学考研参考试题及解_第2页
2/10
湖北大学量子力学考研参考试题及解_第3页
3/10
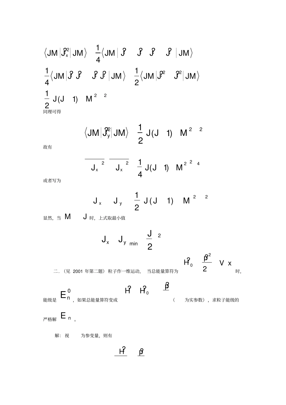
量子力学考研参考试题(一)一. (见 1997 年第二题)证明:(1) 若一个算符与角动量算符J?的两个分量对易, 则其必与 J?的另一个分量对易;( 2) 在2?J与zJ?的共同本征态JM下,xJ?与yJ?的平均值为零, 且当JM时,测量xJ?与yJ?的不确定性为最小。证明:(1) 设算符 F? 与角动量算符xJ?及yJ?皆对易,即0?,??,?yxJFJF则0??,?i1??,?i1?,?,?i1?,?xyyxyxzJJFJJFJJFJF同理可知, 若算符 F? 与角动量算符xJ?及zJ?皆对易,则算符 F?必与yJ?对易;若算符 F?与角动量算符yJ?及zJ?皆对易,则算符 F?必与xJ?对易,于是,问题得证。(2)在2?J与zJ?的共同本征态JM下,xJ?与yJ?的平均值为JMJJJMJMJJMx??21?由升降算符的修正可知1)1()1(?JMMMJJJMJ于是有0? JMJJMx同理可证,算符yJ?在 JM下的平均值也未零。在JM态上,22222)1(21??21????41????41?MJJJMJJJMJMJJJJJMJMJJJJJMJMJJMx同理可得222)1(21?MJJJMJJMy故有42222)1(41MJJJJxx或者写为22)1(21MJJJJyx显然,当JM时,上式取最小值2min2JJJyx二. (见 2001 年第二题) 粒子作一维运动, 当总能量算符为xVpH2??20时,能级是0nE,如果总能量算符变成pHH???0(为实参数),求粒子能级的严格解nE。解: 视为参变量,则有pH??利用费曼 -海尔曼定理可知npnnHnEn?1?又知pppxHxtx?1?2?,i1?,i1dd2在任何束缚态n下,均有0??i1?,i1ddnxHHxnnHxnntxn所以,npn ?进而得到能量本征值满足的微分方程nE对上式作积分,得到cE n22利用0 时,0??HH,定出积分常数0nEc最后,得到 H? 的本征值为220nnEE三.一维谐振子的哈密顿算符为222212??xmmpH引入无量纲算符,xmQ?;pmP?1?;PQa?i?21?;PQa?i?21?(1) 计算PQ ?,?,aa ?,?,aaa??,?,aaa??,?;(2) 将 H? 用 a? 与 a?表示,并求出全部能级。解:(1)计算对易关系i?,1?1,?,?pxpmxmPQ1?,?i21?i,?21?i?21,?i?21?,?QPPQPQPQaaaaaaaaaaaa???,??,????,?aaaaaaaaaa???,??,????,?(2)改写哈密顿算符22222??21212??QPxmmpH而1??21?,?2i??21?i?21?i?21??2222PQPQPQPQPQaa所以,有21???aaH下面求解上述哈密顿算符满足的本征方程。对任何态矢,均有0??2aaa因此,21?H若是哈密顿算符的本征态E,则EHEE?,即21E上式说明能量的下限为21。用aH ?? 作用 H? 的任意一个本征态'E上,利用aaaaHa???,??,?可知'''??????'EEEaEaHaaH若0?'Ea,则其为哈密顿算符的另一个本征态,相应的本征值为E。重复这个推理的过程, 得到,2,,'''EEE都是哈密顿算符的本...

1、当您付费下载文档后,您只拥有了使用权限,并不意味着购买了版权,文档只能用于自身使用,不得用于其他商业用途(如 [转卖]进行直接盈利或[编辑后售卖]进行间接盈利)。
2、本站所有内容均由合作方或网友上传,本站不对文档的完整性、权威性及其观点立场正确性做任何保证或承诺!文档内容仅供研究参考,付费前请自行鉴别。
3、如文档内容存在违规,或者侵犯商业秘密、侵犯著作权等,请点击“违规举报”。

碎片内容

湖北大学量子力学考研参考试题及解

您可能关注的文档

确认删除?
VIP
微信客服
  • 扫码咨询
会员Q群
  • 会员专属群点击这里加入QQ群
客服邮箱
回到顶部